| Oracle Call Interface Programmer's Guide Release 2 (9.2) Part Number A96584-01 |
|
The following topics are covered in this chapter:
OCI has a set of API calls to support operations on both local and global transactions. These calls include object support, so that if an OCI application is running in object mode, the commit and rollback calls will synchronize the object cache with the state of the transaction.
The functions listed below perform transaction operations. Each call takes a service context handle that should be initialized with the proper server context and user session handle. The transaction handle is the third element of the service context; it stores specific information related to a transaction. When a SQL statement is prepared, it is associated with a particular service context. When the statement is executed, its effects (query, fetch, insert) become part of the transaction that is currently associated with the service context.
OCITransStart() - marks the start of a transactionOCITransDetach() - detaches a transactionOCITransCommit() - commits a transactionOCITransRollback() - rolls back a transactionOCITransPrepare() - prepares a transaction to be committed in a distributed processing environmentOCITransMultiPrepare() - prepares a transaction with multiple branches in a single call.OCITransForget() - causes the server to forget a heuristically completed global transaction.Depending on the level of transactional complexity in your application, you may need all or only a few of these calls. The following section discusses this in more detail.
| See Also:
For more specific information about these calls, refer to the function descriptions in "Transaction Functions" |
The OCI supports several levels of transaction complexity. Each level is described in one of the following sections.
Many applications work with only simple local transactions. In these applications, an implicit transaction is created when the application makes database changes. The only transaction-specific calls needed by such applications are:
As soon as one transaction has been committed or rolled back, the next modification to the database creates a new implicit transaction for the application.
Only one implicit transaction can be active at any time on a service context. Attributes of the implicit transaction are opaque to the user.
If an application creates multiple sessions, each one can have an implicit transaction associated with it.
| See Also:
For sample code showing the use of simple local transactions, refer to the example for |
Applications requiring serializable or read-only transactions require an additional OCI call beyond those needed by applications operating on simple local transactions. To initiate a serializable or read-only transactions, the application must create the transaction by calling OCITransStart() to start the transaction.
The call to OCITransStart() should specify OCI_TRANS_SERIALIZABLE or OCI_TRANS_READONLY, as appropriate, for the flags parameter. If no flag is specified, the default value is OCI_TRANS_READWRITE for a standard read-write transaction.
Specifying the read-only option in the OCITransStart() call saves the application from performing a server round trip to execute a SET TRANSACTION READ ONLY statement.
Global transactions are necessary only in more sophisticated transaction-processing applications.
This section has some background about global transactions, and then gives specific information about using OCI calls to process global transactions.
Three-tiered applications such as transaction processing (TP) monitors create and manage global transactions. They supply a global transaction identifier (XID), which a server then associates with a local transaction.
A global transaction has one or more branches. Each branch is identified by an XID. The XID consists of a global transaction identifier (gtrid) and a branch qualifier (bqual). This structure is based on the standard XA specification.
For example, the following is the structure for one possible XID of 1234:
| Component | Value |
|---|---|
|
|
|
|
|
|
|
|
|
The transaction identifier used by OCI transaction calls is set in the OCI_ATTR_XID attribute of the transaction handle, using OCIAttrSet(). Alternately, the transaction can be identified by a name set in the OCI_ATTR_TRANS_NAME attribute.
Within a single global transaction, Oracle supports both tightly coupled and loosely coupled relationships between a pair of branches.
The flags parameter of OCITransStart() allows applications to pass OCI_TRANS_TIGHT or OCI_TRANS_LOOSE to specify the type of coupling.
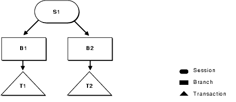
A session corresponds to a user session, created with OCISessionBegin().
The following figure illustrates tightly coupled branches within an application. In the figure, S1 and S2, are sessions, B1 and B2 are branches, and T is a transaction. In this first example, the XIDs of the two branches would share the same gtrid, because they are operating on the same transaction, but they would have a different bqual, because they are separate branches

It is also possible for a single session to operate on different branches. In this case, illustrated in the next figure, gtrid component of the XIDs would be different, because they are separate global transactions

| See Also:
For sample code demonstrating this scenario, refer to the examples for |
It is possible for a single session to operate on multiple branches that share the same transaction, but this scenario does not have much practical value.
| See Also:
Sample code demonstrating this scenario can be found in the examples for |
The following figure illustrates loosely coupled branches:

Transaction branches are classified into two states: active branches and inactive branches.
A branch is active if a server process is executing requests on the branch. A branch is inactive if no server processes are executing requests in the branch. In this case no session is the parent of the branch, and the branch becomes owned by the PMON process in the server.
A branch becomes inactive when an OCI application detaches it, using the OCITransDetach() call. The branch can be made active again by resuming it with a call to OCITransStart() with the flags parameter set to OCI_TRANS_RESUME.
When an application detaches a branch with OCITransDetach(), it utilizes the value specified in the timeout parameter of the OCITransStart() call that created the branch. The timeout specifies the number of seconds the transaction can remain dormant as a child of PMON before being deleted.
When an application wants to resume a branch, it calls OCITransStart(), specifying the XID of the branch as an attribute of the transaction handle, OCI_TRANS_RESUME for the flags parameter, and a different timeout parameter. This timeout value for this call specifies the length of time that the session will wait for the branch to become available if it is currently in use by another process. If no other processes are accessing the branch, it can be resumed immediately.
|
Note: A transaction can be resumed by a different process than the one that detached it, as long as that process has the same authorization as the one that detached the transaction. |
The server handle has OCI_ATTR_EXTERNAL_NAME and OCI_ATTR_INTERNAL_NAME attributes associated with it. These attributes set the client database name that will be recorded when performing global transactions. The name can be used by the DBA to track transactions that may be pending in a prepared state due to failures.
|
Caution: An OCI application should set these attributes, using |
Global transactions may be committed in one or two phases. The simplest situation is when a single transaction is operating against a single database. In this case, the application can perform a one-phase commit of the transaction, by calling OCITransCommit(), because the default value of the call is for one-phase commit.
The situation is more complicated if the application is processing transactions against multiple databases or multiple Oracle servers. In this case, a two-phase commit is necessary. A two-phase commit consists of these steps:
OCITransPrepare() against each transaction. The transaction returns a value indicating whether it is able to commit its current work (OCI_SUCCESS) or not (OCI_ERROR).OCITransCommit() to each transaction. The flags parameter of the commit call must be explicitly set to OCI_TRANS_TWOPHASE for the appropriate behavior. The default for this call is for a one-phase commit.
An additional call, OCITransForget() indicates that a database should forget a heuristically completed transaction. This call is for situations in which a problem has occurred that requires that a two-phase commit be aborted. When a server receives a OCITransForget() call, it forgets all information about the transaction.
| See Also:
For more information about two-phase commit, refer to Oracle9i Heterogeneous Connectivity Administrator's Guide |
There are times when multiple applications will be using different branches of a global transaction against the same Oracle database. Before such a transaction can be committed, all branches must be prepared.
Most often, the applications using the branches are responsible for preparing their own branches. However, some architectures turn this responsibility over to an external transaction service. This external transaction service must then prepare each branch of the global transaction. Using the traditional OCITransPrepare() call, will then be very expensive, as each branch must be individually prepared. The number of messages sent from the client to the server can be greatly reduced by using the OCITransMultiPrepare() call. This call will prepare multiple branches involved in the same global transaction in one round trip.
Here is how to use the transaction OCI calls:
The following tables show series of OCI calls and other actions, along with their resulting behavior. For the sake of simplicity, not all parameters to these calls are listed; rather, the flow of calls which is being demonstrated.
The OCI Action column indicates what the OCI application is doing, or what call it is making. The XID column lists the transaction identifier, when necessary. The Flags column lists the value(s) passed in the flags parameter. The Result column describes the result of the call.
| Step | OCI Action | XID | Flags | Result |
|---|---|---|---|---|
|
1 |
OCITransStart |
1234 |
OCI_TRANS_NEW |
Starts new read-write transaction |
|
2 |
SQL UPDATE |
Update rows |
||
|
3 |
OCITransCommit |
Commit succeeds |
Two initialization parameters relate to the use of global transaction branches and migratable open connections:
TRANSACTIONS - This parameter specifies the maximum number of global transaction branches in the entire system. In contrast, the number of branches on a single global transaction is 8.OPEN_LINKS_PER_INSTANCE - This parameter specifies the maximum number of migratable open connections. Migratable open connections are used by global transactions so that connections are cached after a transaction is committed. This is different from the OPEN_LINKS parameter, which is the number of connections from a session (and is not applicable to applications that use global transactions).The OCI has the ability to authenticate and maintain multiple users in an OCI application. There is also an OCI call which allows the application to update a user password. This is particularly helpful if an expired password message is returned by an authentication attempt.
The OCISessionBegin() call is used to authenticate a user against the server set in the service context handle. OCISessionBegin() must be called for any given server handle before requests can be made against it. Also, OCISessionBegin() only supports authenticating the user for access to the Oracle server specified by the server handle in the service context that is used for the OCISessionBegin() call. In other words, after OCIServerAttach() is called to initialize a server handle, OCISessionBegin() must be called to authenticate the user for that given server identified by the server handle.
When OCISessionBegin() is called for the first time for a given server handle, the user session may not be created in migratable mode (OCI_MIGRATE). After OCISessionBegin() has been called for a server handle, the application may call OCISessionBegin() again to initialize another user session handle with different or the same credentials and different or the same operation modes. If an application wants to authenticate a user in OCI_MIGRATE mode, the service handle must already be associated with a non-migratable user handle. The userid of that user handle becomes the ownership ID of the migratable user session. Every migratable session must have a non-migratable parent session.
If the OCI_MIGRATE mode is not specified, then the user session context can only be used with the same server handle that was used with the OCISessionBegin(). If OCI_MIGRATE mode is specified, then the user authentication may be set with different server handles. However, the user session context may only be used with server handles which resolve to the same database instance. Security checking is done during session switching.
A migratable session is allowed to switch to a different server handle only if the ownership ID of the session matches the userid of a non-migratable session currently connected to that same server.
OCI_SYSDBA, OCI_SYSOPER, and OCI_PRELIM_AUTH may only be used with a primary user session context.
A migratable session can be switched, or migrated, to a server handle within a given environment represented by a environment handle. It can also be migrated, or cloned, to a server handle in another environment in the same process or in a different process in a different mode. To perform this migration, or cloning, you need to do the following:
OCISessionBegin(). The resulting session handle is a fully-authenticated session handle.To provide credentials for a call to OCISessionBegin(), one of two methods are supported. The first is to provide a valid username and password pair for database authentication in the user session handle passed to OCISessionBegin(). This involves using OCIAttrSet() to set the OCI_ATTR_USERNAME and OCI_ATTR_PASSWORD attributes on the user session handle. Then OCISessionBegin() is called with OCI_CRED_RDBMS.
The second type of credentials supported are external credentials. No attributes need to be set on the user session handle before calling OCISessionBegin(). The credential type is OCI_CRED_EXT. If values have been set for OCI_ATTR_USERNAME and OCI_ATTR_PASSWORD, then these are ignored if OCI_CRED_EXT is used.
OCI has the OCIPasswordChange() call to allow an OCI application to modify a user's database password as necessary. This is particularly useful if a call to OCISessionBegin() returns an error message or warning indicating that a user's password has expired.
Applications can also use OCIPasswordChange() to establish a user authentication context, as well as to change password, if appropriate flags are set. If OCIPasswordChange() is called with an uninitialized service context, it establishes a service context and authenticates the user's account using the old password, and then changes the password to the new password. If the OCI_AUTH flag is set, it leaves the user session initialized. Otherwise, the user session is cleared.
If the service context passed to OCIPasswordChange() is already initialized, then OCIPasswordChange() authenticates the given account using the old password and changes the password to the new password. In this case, no matter how the flag is set, the user session remains initialized.
Applications, such as transaction servers, that perform active user load balancing by multiplexing user sessions over a few server connections must group these connections into a server group. Oracle uses the server groups to identify these connections so that sessions can be managed effectively and securely.
The attribute OCI_ATTR_SERVER_GROUP must be defined for a server context to specify the server group name. For example:
OCIAttrSet ((dvoid *) srvhp, (ub4) OCI_HTYPE_SERVER, (dvoid *) group_name, (ub4) strlen ((CONST char *) group_name), (ub4) OCI_ATTR_SERVER_GROUP, errhp);
The server group name is an alpha-numeric string not exceeding 30 characters. OCI_ATTR_SERVER_GROUP attribute must be set in the server context prior to creating the first non-migratable session using that context. After the session is created successfully and the connection is established to the server, the server group name cannot be changed.
All migratable sessions created on servers within a server group can only migrate to other servers in the same server group. Servers that terminate will get removed from the server group. New servers may be created within an existing server group at any time.
Server groups are optional. If no server group is specified, the server will get created in a server group called DEFAULT.
The owner of the first non-migratable session created in the first server in a server group other than DEFAULT establishes ownership of the server group. All subsequent non-migratable sessions for any server in this server group must be created by the same user as the owner of the server group.
The server group feature is useful when dedicated servers are used. It has no effect for shared servers. In case of shared servers, all shared servers will effectively belong to the server group DEFAULT.
A middle-tier application receives requests from browser clients and decides whether to access a database to generate an HTML page to return. Applications can have multiple user sessions within a single database session. These "lightweight sessions" allow each user to be authenticated, without the overhead of a separate database connection, and preserve the identity of the real user through the middle tier.
As long as the client authenticates itself with the middle tier and the middle tier authenticates itself with the database, and the middle tier is authorized to act on behalf of the client by the administrator, client identities can be maintained all the way into the database without compromising the security of the client.
The design of a secure three-tiered architecture is developed around a set of three trust zones. The first trust zone, the client trust zone, is Web clients connecting to a Web/application server. The clients can be authenticated by the middle tier using any means: password, cryptographic token, etc. This method may be entirely different from the method used to establish the other trust zones.
The next trust zone is the application server trust region. The data server verifies the identity of the application server and trusts it to pass the correct identity of the client. The third trust zone is the data server interaction with the authorization server to obtain the roles assigned to the client and the application server.
The application server creates a primary session for itself once it connects to a server. It authenticates itself in the normal manner to the database creating the application server trust zone. The application server identity is now well known and trusted to the data server.
When the application verifies the identity of a client connecting to the application server, it creates the first trust zone. The application server now needs a session handle for the client so that it can service client requests. The middle-tier process allocates a session handle and then sets the following attributes of the client using OCIAttrSet():
OCI_ATTR_USERNAME to set the database user name of the client.
OCI_ATTR_PROXY_CREDENTIALS to indicate the authenticated application making the proxy request.
If the application server wants to specify a list of roles that are to be activated after it connects as the client, it can call OCIAttrSet() with the attribute OCI_ATTR_INITIAL_CLIENT_ROLES and an array of strings that contains the list of roles prior to OCISessionBegin(). Then the role establishment as well as the verification of the proxy capability happens in one round trip. The OCISessionBegin() call will fail if the application server is not allowed to proxy on behalf of the client by the administrator or if the application server is not allowed to activate the specified roles.
| See Also:
Oracle9i Application Developer's Guide - Fundamentals, the chapter on Establishing Security Policies |
The following attributes allow you to specify the external name and initial privileges of a client. The new types of credentials are used by applications as alternative means of identifying or authenticating the client.
Use OCI_CRED_PROXY as the type of credentials when an application server starts a session on behalf of a client, rather than OCI_CRED_RDBMS (database username and password required) or OCI_CRED_EXT (externally provided credentials).
Use this attribute to specify the credentials of the application server for use in the authentication of the client. You pass the session handle of the application server:
OCIAttrSet(OCISession *session_handle, OCI_HTYPE_SESSION, OCISession *application_server_session_handle, (ub4) 0, OCI_ATTR_PROXY_CREDENTIALS, OCIError *error_handle);
Your applications can use the distinguished name contained within a X.509 certificate as the login name of the client, rather than the database user name.
To pass over the distinguished name of the client, the middle-tier server would call OCIAttrSet(), passing OCI_ATTR_DISTINGUISHED_NAME:
OCIAttrSet(OCISession *session_handle, OCI_HTYPE_SESSION, lxstp *distinguished_name, (ub4) 0, OCI_ATTR_DISTINGUISHED_NAME, OCIError *error_handle);
This method is similar to that of distinguished name above. However, instead of the distinguished name, the entire X.509 certificate is passed by the middle-tier server to the database and the database retrieves the distinguished name from it.
To pass over the entire certificate, the middle tier would call OCIAttrSet(), passing OCI_ATTR_CERTIFICATE:
OCIAttrSet(OCISession *session_handle, OCI_HTYPE_SESSION, ub1 *certificate, ub4 certificate_length, OCI_ATTR_CERTIFICATE, OCIError *error_handle);
If the certificate type is to be passed over with the certificate, the middle tier would call OCIAttrSet(), passing OCI_ATTR_CERTIFICATE_TYPE:
OCIAttrSet(OCISession *session_handle, OCI_HTYPE_SESSION, ub1 *certificate_type, ub4 certificate_type_length, OCI_ATTR_CERTIFICATE_TYPE, OCIError *error_handle);
If the type is not specified, then the server will use its default certificate type of X.509.
Use the OCI_ATTR_INITIAL_CLIENT_ROLES attribute to specify a role or roles that the client is to initially possess when the application server connects to the Oracle server on its behalf. To enable a set of roles, the function OCIAttrSet() is called with the attribute, an array of null-terminated strings and the number of strings in the array:
OCIAttrSet(OCISession *session_handle, OCI_HTYPE_SESSION, text ** role_array, ub4 number_of_strings, OCI_ATTR_INITIAL_CLIENT_ROLES, OCIError *error_handle);
To support the Global Application Context, the client can set the user identifier in the session handle at any time in the session. Use the attribute OCI_ATTR_CLIENT_IDENTIFIER in the call to OCIAttrSet() to do this. Then, on the next request to the server, the information is propagated and stored in the server session. The first character of the identifier should not be ':'. If it is, the behavior is unspecified.
Usage example:
OCIAttrSet(sesssion, OCI_HTYPE_SESSION, (dvoid *) "appuser1", (ub4)strlen("appuser1"), OCI_ATTR_CLIENT_IDENTIFIER, OCIError *error_handle);
As an example, the code might look like the following:
... *OCIEnv *environment_handle; OCIServer *data_server_handle; OCIError *error_handle; OCISvcCtx *application_server_service_handle; text *client_roles[2]; OCISession *first_client_session_handle, second_client_session_handle; ... /* ** General initialization and allocation of contexts. */ (void) OCIInitialize((ub4) OCI_DEFAULT, (dvoid *)0, (dvoid * (*)(dvoid *, size_t)) 0, (dvoid * (*)(dvoid *, dvoid *, size_t))0, (void (*)(dvoid *, dvoid *)) 0 ); (void) OCIEnvInit( (OCIEnv **) &environment_handle, OCI_DEFAULT, (size_t) 0, (dvoid **) 0 ); (void) OCIHandleAlloc( (dvoid *) environment_handle, (dvoid **) &error_handle, OCI_HTYPE_ERROR, (size_t) 0, (dvoid **) 0); /* ** Allocate and initialize the server and service contexts used by the ** application server. */ (void) OCIHandleAlloc( (dvoid *) environment_handle, (dvoid **)&data_server_handle, OCI_HTYPE_SERVER, (size_t) 0, (dvoid **) 0); (void) OCIHandleAlloc( (dvoid *) environment_handle, (dvoid **) &application_server_service_handle, OCI_HTYPE_SVCCTX, (size_t) 0, (dvoid **) 0); (void) OCIAttrSet((dvoid *) application_server_service_handle, OCI_HTYPE_SVCCTX, (dvoid *) data_server_handle, (ub4) 0, OCI_ATTR_SERVER, error_handle); /* ** Authenticate the application server. In this case, external authentication is ** being used. */ (void) OCIHandleAlloc((dvoid *) environment_handle, (dvoid **)&application_server_session_handle, (ub4) OCI_HTYPE_SESSION, (size_t) 0, (dvoid **) 0); checkerr(error_handle, OCISessionBegin(application_server_service_handle, error_handle, application_server_session_handle, OCI_CRED_EXT, OCI_DEFAULT)); /* ** Authenticate the first client ** Note that no password is specified by the ** application server for the client as it is trusted. */ (void) OCIHandleAlloc((dvoid *) environment_handle, (dvoid **)&first_client_session_handle, (ub4) OCI_HTYPE_SESSION, (size_t) 0,(dvoid **) 0); (void) OCIAttrSet((dvoid *) first_client_session_handle, (ub4) OCI_HTYPE_SESSION, (dvoid *) "jeff", (ub4) strlen("jeff"), OCI_ATTR_USERNAME, error_handle); /* ** In place of specifying a password, pass the session handle of the application ** server instead. */ (void) OCIAttrSet((dvoid *) first_client_session_handle, (ub4) OCI_HTYPE_SESSION, (dvoid *) application_server_session_handle, (ub4) 0, OCI_ATTR_PROXY_CREDENTIALS, error_handle); (void) OCIAttrSet((dvoid *) first_client_session_handle, (ub4) OCI_HTYPE_SESSION, (dvoid *) "jeff@VeryBigBank.com", (ub4) strlen("jeff@VeryBigBank.com"), OCI_ATTR_EXTERNAL_NAME, error_handle); /* ** Establish the roles that the application server can use as the client. */ client_roles[0] = (text *) "TELLER"; client_roles[1] = (text *) "SUPERVISOR"; (void) OCIAttrSet((dvoid *) first_client_session_handle, OCI_ATTR_INITIAL_CLIENT_ROLES, error_handle); checkerr(error_handle, OCISessionBegin(application_server_service_handle, error_handle, first_client_session_handle, OCI_CRED_PROXY, OCI_DEFAULT)); /* ** To start a session as another client, the application server would do the ** following. It should be ** noted this code is unchanged from the current way of doing session switching. */ (void) OCIHandleAlloc((dvoid *) environment_handle, (dvoid **)&second_client_session_handle, (ub4) OCI_HTYPE_SESSION, (size_t) 0, (dvoid **) 0); (void) OCIAttrSet((dvoid *) second_client_session_handle, (ub4) OCI_HTYPE_SESSION, (dvoid *) "mutt", (ub4) strlen("mutt"), OCI_ATTR_USERNAME, error_handle); (void) OCIAttrSet((dvoid *) second_client_session_handle, (ub4) OCI_HTYPE_SESSION, (dvoid *) application_server_session_handle, (ub4) 0, OCI_ATTR_PROXY_CREDENTIALS, error_handle); (void) OCIAttrSet((dvoid *) second_client_session_handle, (ub4) OCI_HTYPE_SESSION, (dvoid *) "mutt@VeryBigBank.com", (ub4) strlen("mutt@VeryBigBank.com"), OCI_ATTR_EXTERNAL_NAME, error_handle); /* ** Note that the application server has not specified any initial roles to have ** as the second client. */ checkerr(error_handle, OCISessionBegin(application_server_service_handle, error_handle, second_client_session_handle, OCI_CRED_PROXY, OCI_DEFAULT)); /* ** To switch to the first user, the application server would apply the session ** handle obtained by the first ** OCISessionBegin() call. This is the same as is currently done. */ (void) OCIAttrSet((dvoid *)application_server_service_handle, (ub4) OCI_HTYPE_SVCCTX, (dvoid *)first_client_session_handle, (ub4)0, (ub4)OCI_ATTR_SESSION, error_handle); /* ** After doing some operations, the application server might want to switch to ** the second client. That ** would be done by the following call: */ (void) OCIAttrSet((dvoid *)application_server_service_handle, (ub4) OCI_HTYPE_SVCCTX, (dvoid *)second_client_session_handle, (ub4)0, (ub4)OCI_ATTR_SESSION, error_handle); /* ** and then do operations as that client */ ...
A middle-tier can ask the database server to authenticate a client on its behalf by validating the password of the client rather than doing the authentication itself.
For more complete information on this topic:
| See Also:
Oracle9i Application Developer's Guide - Fundamentals, the chapter on Establishing Security Policies |
While it may appear that this is essentially the same as a client/data server connection, it is different. The client does not have to have Oracle software installed on the client's system to be able to perform database operations.
To pass over the password of the client, the application server supplies OCIAttrSet() with the following data, using the existing attribute OCI_ATTR_PASSWORD:
OCIAttrSet(OCISession *session_handle, OCI_HTYPE_SESSION, lxstp *password, (ub4) 0, OCI_ATTR_PASSWORD, OCIError *error_handle);
An externally initialized context is an application context whose attributes can be initialized from OCI. Use the SQL statement CREATE CONTEXT to create a context namespace in the server with the option INITIALIZED EXTERNALLY.
Then, you can initialize an OCI interface when establishing a session using OCIAttrSet() and OCISessionBegin(). After the session is established, you can issue commands to write to any attributes inside the namespace only with the PL/SQL package designated in the CREATE CONTEXT statement.
You are able to send default values along with other session attributes through the OCISessionBegin() call, thus reducing server round trips. For a definition and further discussion of application contexts:
See Also:
|
The client application you develop can set application contexts explicitly in the session handle, before authentication, using the following attributes in OCI functions:
Use this to initialize the context array size with the desired number of context attributes in the OCIAttrSet() call. (The argument size is a ub4 datatype.)
OCIAttrSet(session, OCI_HTYPE_SESSION, (dvoid *)&size, (ub4)0, OCI_ATTR_APPCTX_SIZE, error_handle);
Use this attribute to get a handle on the application context list descriptor for the session in the OCIAttrGet() call. (Where the parameter ctxl_desc must be of datatype OCIParam *).
OCIAttrGet(session, OCI_HTYPE_SESSION, (dvoid *)&ctxl_desc, (ub4)0, OCI_ATTR_APPCTX_LIST, error_handle);
Then use the application context list descriptor to obtain an individual descriptor for the i-th application context in a call to OCIParamGet():
OCIParamGet(ctxl_desc, OCI_DTYPE_PARAM, error_handle,(dvoid **)&ctx_desc, i);
Where ctx_desc is of OCIParam * datatype.
Set the appropriate values of the application context using these three attributes:
Each namespace can have many attributes, each of which has one value. Here are the three calls you can use to set them:
OCIAttrSet(ctx_desc, OCI_DTYPE_PARAM, (dvoid *)ctx_name, sizeof(ctx_name), OCI_ATTR_APPCTX_NAME, error_handle); OCIAttrSet(ctx_desc, OCI_DTYPE_PARAM, (dvoid *)attr_name, sizeof(attr_name), OCI_ATTR_APPCTX_ATTR, error_handle); OCIAttrSet(ctx_desc, OCI_DTYPE_PARAM, (dvoid *)value, sizeof(value), OCI_ATTR_APPCTX_VALUE, error_handle);
Note that only character type is supported, because application context operations are based on the VARCHAR2 datatype.
| See Also:
"User Session Handle Attributes" for more information about the attributes discussed in this section |
When you then call OCISessionBegin(), the context set in the session handle will be pushed to the server. After this call, no more contexts will be propagated to the server session.
Here is a code example to illustrate use of these calls and attributes:
#include <stdio.h> #include <stdlib.h> #include <string.h> #include <oci.h> static text *username = (text *) "SCOTT"; static text *password = (text *) "TIGER"; static OCIEnv *envhp; static OCIError *errhp; int main(/*_ int argc, char *argv[] _*/); static sword status; int main(argc, argv) int argc; char *argv[]; { OCISession *authp = (OCISession *) 0; OCIServer *srvhp; OCISvcCtx *svchp; OCIDefine *defnp = (OCIDefine *) 0; dvoid *parmdp; ub4 ctxsize; OCIParam *ctxldesc; OCIParam *ctxedesc; (void) OCIInitialize((ub4) OCI_DEFAULT, (dvoid *)0, (dvoid * (*)(dvoid *, size_t)) 0, (dvoid * (*)(dvoid *, dvoid *, size_t))0, (void (*)(dvoid *, dvoid *)) 0 ); (void) OCIEnvInit( (OCIEnv **) &envhp, OCI_DEFAULT, (size_t) 0, (dvoid **) 0 ); (void) OCIHandleAlloc( (dvoid *) envhp, (dvoid **) &errhp, OCI_HTYPE_ERROR, (size_t) 0, (dvoid **) 0); /* server contexts */ (void) OCIHandleAlloc( (dvoid *) envhp, (dvoid **) &srvhp, OCI_HTYPE_SERVER, (size_t) 0, (dvoid **) 0); (void) OCIHandleAlloc( (dvoid *) envhp, (dvoid **) &svchp, OCI_HTYPE_SVCCTX, (size_t) 0, (dvoid **) 0); (void) OCIServerAttach( srvhp, errhp, (text *)"", strlen(""), 0); /* set attribute server context in the service context */ (void) OCIAttrSet( (dvoid *) svchp, OCI_HTYPE_SVCCTX, (dvoid *)srvhp, (ub4) 0, OCI_ATTR_SERVER, (OCIError *) errhp); (void) OCIHandleAlloc((dvoid *) envhp, (dvoid **)&authp, (ub4) OCI_HTYPE_SESSION, (size_t) 0, (dvoid **) 0); /****************************************/ /* set app ctx size to 2 because we want to set up 2 application contexts */ ctxsize = 2; /* set up app ctx buffer */ (void) OCIAttrSet((dvoid *) authp, (ub4) OCI_HTYPE_SESSION, (dvoid *) &ctxsize, (ub4) 0, (ub4) OCI_ATTR_APPCTX_SIZE, errhp); /* retrieve the list descriptor */ (void) OCIAttrGet((dvoid *)authp, (ub4) OCI_HTYPE_SESSION, (dvoid *)&ctxldesc, 0, OCI_ATTR_APPCTX_LIST, errhp ); /* retrieve the 1st ctx element descriptor */ (void) OCIParamGet(ctxldesc, OCI_DTYPE_PARAM, errhp, (dvoid**)&ctxedesc, 1); (void) OCIAttrSet((dvoid *) ctxedesc, (ub4) OCI_DTYPE_PARAM, (dvoid *) "HR", (ub4) strlen((char *)"HR"), (ub4) OCI_ATTR_APPCTX_NAME, errhp); (void) OCIAttrSet((dvoid *) ctxedesc, (ub4) OCI_DTYPE_PARAM, (dvoid *) "ATTR1", (ub4) strlen((char *)"ATTR1"), (ub4) OCI_ATTR_APPCTX_ATTR, errhp); (void) OCIAttrSet((dvoid *) ctxedesc, (ub4) OCI_DTYPE_PARAM, (dvoid *) "VALUE1", (ub4) strlen((char *)"VALUE1"), (ub4) OCI_ATTR_APPCTX_VALUE, errhp); /* set second context */ (void) OCIParamGet(ctxldesc, OCI_DTYPE_PARAM, errhp, (dvoid**)&ctxedesc, 2); (void) OCIAttrSet((dvoid *) ctxedesc, (ub4) OCI_DTYPE_PARAM, (dvoid *) "HR", (ub4) strlen((char *)"HR"), (ub4) OCI_ATTR_APPCTX_NAME, errhp); (void) OCIAttrSet((dvoid *) ctxedesc, (ub4) OCI_DTYPE_PARAM, (dvoid *) "ATTR2", (ub4) strlen((char *)"ATTR2"), (ub4) OCI_ATTR_APPCTX_ATTR, errhp); (void) OCIAttrSet((dvoid *) ctxedesc, (ub4) OCI_DTYPE_PARAM, (dvoid *) "VALUE2", (ub4) strlen((char *)"VALUE2"), (ub4) OCI_ATTR_APPCTX_VALUE, errhp); /****************************************/ (void) OCIAttrSet((dvoid *) authp, (ub4) OCI_HTYPE_SESSION, (dvoid *) username, (ub4) strlen((char *)username), (ub4) OCI_ATTR_USERNAME, errhp); (void) OCIAttrSet((dvoid *) authp, (ub4) OCI_HTYPE_SESSION, (dvoid *) password, (ub4) strlen((char *)password), (ub4) OCI_ATTR_PASSWORD, errhp); OCISessionBegin ( svchp, errhp, authp, OCI_CRED_RDBMS,(ub4) OCI_DEFAULT); } ...
|
![]() Copyright © 1996, 2002 Oracle Corporation. All Rights Reserved. |
|