Skip Headers

Oracle® Call Interface Programmer's Guide
10g Release 1 (10.1)

Part Number B10779-01
Go to Documentation Home
Home
Go to Book List
Book List
Go to Table of Contents
Contents
Go to Index
Index
Go to Master Index
Master Index
Go to Feedback page
Feedback

Go to previous page
Previous
Go to next page
Next
View PDF

8
Managing Scalable Platforms

This chapter contains these topics:

OCI Support for Transactions

OCI has a set of API calls to support operations on both local and global transactions. These calls include object support, so that if an OCI application is running in object mode, the commit and rollback calls will synchronize the object cache with the state of the transaction.

The functions listed later perform transaction operations. Each call takes a service context handle that must be initialized with the proper server context and user session handle. The transaction handle is the third element of the service context; it stores specific information related to a transaction. When a SQL statement is prepared, it is associated with a particular service context. When the statement is executed, its effects (query, fetch, insert) become part of the transaction that is currently associated with the service context.

Depending on the level of transactional complexity in your application, you may need all or only a few of these calls. The following section discusses this in more detail.

See Also:

"Transaction Functions"

Levels of Transactional Complexity

The OCI supports several levels of transaction complexity.

Simple Local Transactions

Many applications work with only simple local transactions. In these applications, an implicit transaction is created when the application makes database changes. The only transaction-specific calls needed by such applications are:

As soon as one transaction has been committed or rolled back, the next modification to the database creates a new implicit transaction for the application.

Only one implicit transaction can be active at any time on a service context. Attributes of the implicit transaction are opaque to the user.

If an application creates multiple sessions, each one can have an implicit transaction associated with it.

See Also:

OCITransCommit() for sample code showing the use of simple local transactions

Serializable or Read-Only Local Transactions

Applications requiring serializable or read-only transactions require an additional OCI OCITransStart() call to start the transaction.

The OCITransStart() call must specify OCI_TRANS_SERIALIZABLE or OCI_TRANS_READONLY, as appropriate, for the flags parameter. If no flag is specified, the default value is OCI_TRANS_READWRITE for a standard read/write transaction.

Specifying the read-only option in the OCITransStart() call saves the application from performing a server round trip to execute a SET TRANSACTION READ ONLY statement.

Global Transactions

Global transactions are necessary only in more sophisticated transaction-processing applications.

Transaction Identifiers

Three-tier applications such as transaction processing (TP) monitors create and manage global transactions. They supply a global transaction identifier (XID), that a server then associates with a local transaction.

A global transaction has one or more branches. Each branch is identified by an XID. The XID consists of a global transaction identifier (gtrid) and a branch qualifier (bqual). This structure is based on the standard XA specification.

For example, the following is the structure for one possible XID of 1234:

Table 8-1 Global transaction Identifier  
Component Value

gtrid

12

bqual

34

gtrid+bqual=XID

1234

See Also:

Oracle Heterogeneous Connectivity Administrator's Guide for more information about transaction identifiers

The transaction identifier used by OCI transaction calls is set in the OCI_ATTR_XID attribute of the transaction handle, using OCIAttrSet(). Alternately, the transaction can be identified by a name set in the OCI_ATTR_TRANS_NAME attribute.

Attribute OCI_ATTR_TRANS_NAME

When setting this attribute in a transaction handle, the length of the name can be at most 64 bytes. The formatid of the XID is 0 and the branch qualifier is 0.

When retrieving this attribute from a transaction handle, the returned transaction name is the global transaction identifier. The size is the length of the global transaction identifier.

Transaction Branches

Within a single global transaction, Oracle supports both tightly coupled and loosely coupled relationships between a pair of branches.

The flags parameter of OCITransStart() allows applications to pass OCI_TRANS_TIGHT or OCI_TRANS_LOOSE to specify the type of coupling.

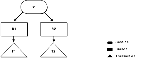
A session corresponds to a user session, created with OCISessionBegin().

Figure 8-1 illustrates tightly coupled branches within an application. S1 and S2, are sessions, B1 and B2 are branches, and T is a transaction. The XIDs of the two branches share the same gtrid, because they are operating on the same transaction, but they have a different bqual, because they are on separate branches

Figure 8-1 Multiple Tightly Coupled Branches

Text description of lnoci023.gif follows

Text description of the illustration lnoci023.gif

Figure 8-2 illustrates how a single session operates on different branches. The gtrid component of the XIDs are different, because they represent separate global transactions

Figure 8-2 Session Operating on Multiple Branches

Text description of lnoci024.gif follows

Text description of the illustration lnoci024.gif

It is possible for a single session to operate on multiple branches that share the same transaction, but this scenario does not have much practical value.

See Also:

OCITransStart() for sample code demonstrating this scenario

Branch States

Transaction branches are classified into two states: active branches and inactive branches.

A branch is active if a server process is executing requests on the branch. A branch is inactive if no server processes are executing requests in the branch. In this case, no session is the parent of the branch, and the branch becomes owned by the PMON process in the server.

Detaching and Resuming Branches

A branch becomes inactive when an OCI application detaches it, using the OCITransDetach() call. The branch can be made active again by resuming it with a call to OCITransStart() with the flags parameter set to OCI_TRANS_RESUME.

When an application detaches a branch with OCITransDetach(), it uses the value specified in the timeout parameter of the OCITransStart() call that created the branch. The timeout specifies the number of seconds the transaction can remain dormant as a child of PMON before being deleted.

When an application wants to resume a branch, it calls OCITransStart(), specifying the XID of the branch as an attribute of the transaction handle, OCI_TRANS_RESUME for the flags parameter, and a different timeout parameter. This timeout value for this call specifies the length of time that the session will wait for the branch to become available if it is currently in use by another process. If no other processes are accessing the branch, it can be resumed immediately. A transaction can be resumed by a different process than the one that detached it, as long as that process has the same authorization as the one that detached the transaction.

Setting Client Database Name

The server handle has OCI_ATTR_EXTERNAL_NAME and OCI_ATTR_INTERNAL_NAME attributes. These attributes set the client database name recorded when performing global transactions. The name can be used by the database administrator to track transactions that may be pending in a prepared state because of failures.


Caution:

An OCI application sets these attributes, using OCIAttrSet() before logging on and using global transactions.


One-Phase Versus Two-Phase Commit

Global transactions may be committed in one or two phases. The simplest situation is when a single transaction is operating against a single database. In this case, the application can perform a one-phase commit of the transaction by calling OCITransCommit() because the default value of the call is for one-phase commit.

The situation is more complicated if the application is processing transactions against multiple databases or multiple Oracle servers. In this case, a two-phase commit is necessary. A two-phase commit consists of these steps:

  1. Prepare - The application issues OCITransPrepare() call against each transaction. The transactions return a value indicating whether it is able to commit its current work (OCI_SUCCESS) or not (OCI_ERROR).
  2. Commit - If each OCITransPrepare() call returns a value of OCI_SUCCESS, the application can issue a OCITransCommit() call to each transaction. The flags parameter of the commit call must be explicitly set to OCI_TRANS_TWOPHASE for the appropriate behavior, since the default for this call is for a one-phase commit.


    Note:

    The OCITransPrepare() call can also return OCI_SUCCESS_WITH_INFO if a transaction needs to indicate that it is read-only. This means that a commit is neither appropriate nor necessary.


An additional call, OCITransForget(), indicates that a database "forgets" a completed transaction. This call is for situations in which a problem has occurred that requires that a two-phase commit be aborted. When a server receives a OCITransForget() call, it removes all information about the transaction.

Preparing Multiple Branches in a Single Message

There are times when multiple applications will be using different branches of a global transaction against the same Oracle database. Before such a transaction can be committed, all branches must be prepared.

Most often, the applications using the branches are responsible for preparing their own branches. However, some architectures turn this responsibility over to an external transaction service. This external transaction service must then prepare each branch of the global transaction. Using the traditional OCITransPrepare() call becomes inefficient as each branch must be individually prepared. The number of messages sent from the client to the server can be greatly reduced by using the OCITransMultiPrepare() call, that prepares multiple branches involved in the same global transaction in one round trip.

Transaction Examples

Here is how to use the transaction OCI calls:

The following tables show series of OCI calls and other actions, along with their resulting behavior. For the sake of simplicity, not all parameters to these calls are listed; rather, the flow of calls which is being demonstrated.

The OCI Action column indicates what the OCI application is doing, or what call it is making. The XID column lists the transaction identifier, when necessary. The Flags column lists the values passed in the flags parameter. The Result column describes the result of the call.

Initialization Parameters

Two initialization parameters relate to the use of global transaction branches and migratable open connections:

Update Successfully, One-Phase Commit

Here is a list of the steps:

Table 8-2 One-Phase Commit  
Step OCI Action XID Flags Result

1

OCITransStart

1234

OCI_TRANS_NEW

Starts new read/write transaction

2

SQL UPDATE

-

-

Update rows

3

OCITransCommit

-

-

Commit succeeds

Start a Transaction, Detach, Resume, Prepare, Two-Phase Commit

Here is a list of the steps:

Table 8-3 Two-Phase Commit  
Step OCI Action XID Flags Result

1

OCITransStart

1234

OCI_TRANS_NEW

Starts new read-only transaction

2

SQL UPDATE

-

-

Update rows

3

OCITransDetach

-

-

Transaction is detached

4

OCITransStart

1234

OCI_TRANS_RESUME

Transaction is resumed

5

SQL UPDATE

-

-

-

6

OCITransPrepare

-

-

Transaction prepared for two-phase commit

7

OCITransCommit

-

OCI_TRANS_TWOPHASE

Transaction is committed.

Note: In step 4, the transaction can be resumed by a different process, as long as it had the same authorization.

Read-Only Update Fails

Here is a list of the steps:

Table 8-4 Read-Only Update Fails  
Step OCI Action XID Flags Result

1

OCITransStart

1234

OCI_TRANS_NEW |

OCI_TRANS_READONLY

Starts new read-only transaction

2

SQL UPDATE

-

-

Update fails, because transaction is read-only

3

OCITransCommit

-

-

Commit has no effect

Start a Read-Only Transaction, Select and Commit

Here is a list of the steps:

Table 8-5 Read-Only Transaction  
Step OCI Action XID Flags Result

1

OCITransStart

1234

OCI_TRANS_NEW |

OCI_TRANS_READONLY

Starts new read-only transaction

2

SQL SELECT

-

-

Query database

3

OCITransCommit

-

-

No effect -- transaction is read-only, no changes made

Password and Session Management

The OCI has the ability to authenticate and maintain multiple users.

OCI Authentication Management

The OCISessionBegin() call authenticates a user against the server set in the service context handle. It must be the first call for any given server handle. OCISessionBegin() authenticates the user for access to the Oracle server specified by the server handle and the service context of the call: after OCIServerAttach() initializes a server handle, OCISessionBegin() must be called to authenticate the user for that server.

When OCISessionBegin() is called for the first time on a server handle, the user session may not be created in migratable mode (OCI_MIGRATE). After OCISessionBegin() has been called for a server handle, the application may call OCISessionBegin() again to initialize another user session handle with different or the same credentials and different or the same operation modes. If an application wants to authenticate a user in OCI_MIGRATE mode, the service handle must already be associated with a non-migratable user handle. The userid of that user handle becomes the ownership ID of the migratable user session. Every migratable session must have a non-migratable parent session.

A migratable session can switch to a different server handle only if the ownership ID of the session matches the userid of a non-migratable session currently connected to that same server.

OCI_SYSDBA, OCI_SYSOPER, and OCI_PRELIM_AUTH settings can only be used with a primary user session context.

A migratable session can be switched, or migrated, to a server handle within an environment represented by an environment handle. It can also migrate or be cloned, to a server handle in another environment in the same process, or in a different process in a different mode. To perform this migration, or cloning, you need to do the following:

  1. Extract the session id from the session handle using OCI_ATTR_MIGSESSION. This is an array of bytes that must not be modified by the caller.

    See Also:

    OCI_ATTR_MIGSESSION

    
    
  2. Transport this session id to another process.
  3. In the new environment, create a session handle and set the session id using OCI_ATTR_MIGSESSION.
  4. Execute OCISessionBegin(). The resulting session handle is fully-authenticated.

To provide credentials for a call to OCISessionBegin(), you must provide a valid user name and password pair for database authentication in the user session handle parameter. This involves using OCIAttrSet() to set the OCI_ATTR_USERNAME and OCI_ATTR_PASSWORD attributes on the user session handle. Then OCISessionBegin() is called with OCI_CRED_RDBMS.

When the user session handle is terminated using OCISessionEnd(), the user name and password attributes are changed and thus cannot be re-used in a future call to OCISessionBegin(). They must be reset to new values before the next OCISessionBegin() call.

Or, you can supply external credentials. No attributes need to be set on the user session handle before calling OCISessionBegin(). The credential type is OCI_CRED_EXT. If values have been set for OCI_ATTR_USERNAME and OCI_ATTR_PASSWORD, then these are ignored if OCI_CRED_EXT is used.

OCI Password Management

The OCIPasswordChange() call enables an application to modify a user's database password as necessary. This is particularly useful if a call to OCISessionBegin() returns an error message or warning indicating that a user's password has expired.

Applications can also use OCIPasswordChange() to establish a user authentication context, and to change the password. If OCIPasswordChange() is called with an uninitialized service context, it establishes a service context and authenticates the user's account using the old password, and then changes the password to the new password. If the OCI_AUTH flag is set, it leaves the user session initialized. Otherwise, the user session is cleared.

If the service context passed to OCIPasswordChange() is already initialized, then OCIPasswordChange() authenticates the given account using the old password and changes the password to the new password. In this case, no matter how the flag is set, the user session remains initialized.

OCI Session Management

Transaction servers that actively balance user load by multiplexing user sessions over a few server connections must group these connections into a server group. Oracle uses server groups to identify these connections so that sessions can be managed effectively and securely.

The attribute OCI_ATTR_SERVER_GROUP must be defined to specify the server group name using the OCIAttrSet() call:

OCIAttrSet ((dvoid *) srvhp, (ub4) OCI_HTYPE_SERVER, (dvoid *) group_name, 
            (ub4) strlen ((CONST char *) group_name), 
            (ub4) OCI_ATTR_SERVER_GROUP, errhp);

The server group name is an alphanumeric string not exceeding 30 characters. OCI_ATTR_SERVER_GROUP attribute must be set in the server context prior to creating the first non-migratable session that uses that context. After the session is created successfully and the connection to the server is established, the server group name cannot be changed.

See Also:

OCI_ATTR_SERVER_GROUP

All migratable sessions created on servers within a server group can only migrate to other servers in the same server group. Servers that terminate will get removed from the server group. New servers may be created within an existing server group at any time.

The use of server groups is optional. If no server group is specified, the server is created in a server group called DEFAULT.

The owner of the first non-migratable session created in a non-default server group becomes the owner of the server group. All subsequent non-migratable sessions for any server in this server group must be created by the owner of the server group.

The server group feature is useful when dedicated servers are used. It has no effect on shared servers. All shared servers effectively belong to the server group DEFAULT.

Middle-Tier Applications in OCI

A middle-tier application receives requests from browser clients and determines database access and whether to generate an HTML page. Applications can have multiple lightweight user sessions within a single database session. These lightweight sessions allow each user to be authenticated, without the overhead of a separate database connection, and preserve the identity of the real user through the middle tier.

As long as the client authenticates itself with the middle tier and the middle tier authenticates itself with the database, and the middle tier is authorized to act on behalf of the client by the administrator, client identities can be maintained all the way into the database without compromising the security of the client.

The design of a secure three-tier architecture is developed around a set of three trust zones.

The first is the client trust zone.Clients connecting to a Web application server are authenticated by the middle tier using any means: password, cryptographic token, or another. This method may be entirely different from the method used to establish the other trust zones.

The second trust zone is the application server. The data server verifies the identity of the application server and trusts it to pass the correct identity of the client.

The third trust zone is the data server interaction with the authorization server to obtain the roles assigned to the client and the application server.

The application server creates a primary session for itself once it connects to a server. It authenticates itself in the normal manner to the database, creating the application server trust zone. The application server identity is now well known and trusted by the data server.

When the application verifies the identity of a client connecting to the application server, it creates the first trust zone. The application server now needs a session handle for the client so that it can service client requests. The middle-tier process allocates a session handle and then sets the following attributes of the client using OCIAttrSet():

If the application server wants to specify a list of roles activated after it connects as the client, it can call OCIAttrSet() with the attribute OCI_ATTR_INITIAL_CLIENT_ROLES and an array of strings that contains the list of roles prior to OCISessionBegin(). Then the role is established and proxy capability verified in one round trip. If the application server is not allowed to act on behalf of the client or if the application server is not allowed to activate the specified roles, the OCISessionBegin() call will fail.

OCI Attributes for Middle-Tier Applications

The following attributes allow you to specify the external name and initial privileges of a client. These credentials are used by applications as alternative means of identifying or authenticating the client.

OCI_CRED_PROXY

Use OCI_CRED_PROXY as the value passed in the credt parameter of OCISessionBegin() when an application server starts a session on behalf of a client, rather than OCI_CRED_RDBMS (database user name and password required) or OCI_CRED_EXT (externally provided credentials).

OCI_ATTR_PROXY_CREDENTIALS

Use this attribute to specify the credentials of the application server in client authentication. You can code the following declarations and OCIAttrSet() call:

OCISession *session_handle;
OCISvcCtx  *application_server_session_handle;
OCIError   *error_handle;
...
OCIAttrSet((dvoid *)session_handle, (ub4) OCI_HTYPE_SESSION, 
           (dvoid *)application_server_session_handle, (ub4) 0, 
           OCI_ATTR_PROXY_CREDENTIALS, error_handle);

OCI_ATTR_DISTINGUISHED_NAME

Your applications can use the distinguished name contained within a X.509 certificate as the login name of the client, instead of the database user name.

To pass the distinguished name of the client, the middle-tier server calls OCIAttrSet(), passing OCI_ATTR_DISTINGUISHED_NAME:

/* Declarations */
...
OCIAttrSet((dvoid *)session_handle, (ub4) OCI_HTYPE_SESSION,
           (dvoid *)distinguished_name, (ub4) 0,
           OCI_ATTR_DISTINGUISHED_NAME, error_handle);

OCI_ATTR_CERTIFICATE

This method of authentication is similar to the use of distinguished name. The entire X.509 certificate is passed by the middle-tier server to the database.

To pass over the entire certificate, the middle tier calls OCIAttrSet(), passing OCI_ATTR_CERTIFICATE:

OCIAttrSet((dvoid *)session_handle, (ub4) OCI_HTYPE_SESSION, 
           (dvoid *)certificate, ub4 certificate_length, 
           OCI_ATTR_CERTIFICATE, error_handle);

If the certificate type is passed over with the certificate, the middle tier calls OCIAttrSet(), passing OCI_ATTR_CERTIFICATE_TYPE:

OCIAttrSet((dvoid *)session_handle, (ub4) OCI_HTYPE_SESSION, 
           (dvoid *)certificate_type,
           ub4 certificate_type_length, OCI_ATTR_CERTIFICATE_TYPE, 
           error_handle);

If the type is not specified, then the server will use its default certificate type of X.509.

OCI_ATTR_INITIAL_CLIENT_ROLES

Use the OCI_ATTR_INITIAL_CLIENT_ROLES attribute to specify the roles the client is to possess when the application server connects to the Oracle server. To enable a set of roles, the function OCIAttrSet() is called with the attribute, an array of NULL-terminated strings and the number of strings in the array:

OCIAttrSet((dvoid *)session_handle, (ub4) OCI_HTYPE_SESSION, 
           (dvoid *)role_array, ub4 number_of_strings,
           OCI_ATTR_INITIAL_CLIENT_ROLES, error_handle);

OCI_ATTR_CLIENT_IDENTIFIER

Many middle tier applications connect to the database as an application, and rely on the middle-tier to track end user identity. To integrate tracking of these end users in various database components, the database client can set the client identifier (a predefined attribute from the application context namespace USERENV) in the session handle at any time. Use the OCI attribute OCI_ATTR_CLIENT_IDENTIFIER in the call to OCIAttrSet(). On the next request to the server, the information is propagated and stored in the server session.

To support the global application context, the client can set the CLIENT_IDENTIFIER (a predefined attribute from the application context namespace USERENV) in the session handle at any time. Use the OCI attribute OCI_ATTR_CLIENT_IDENTIFIER in the call to OCIAttrSet(). On the next request to the server, the information is propagated and stored in the server session.

OCIAttrSet((dvoid *)session_handle, (ub4) OCI_HTYPE_SESSION, 
           (dvoid *)"janedoe", (ub4)strlen("janedoe"),
           OCI_ATTR_CLIENT_IDENTIFIER, error_handle);

When a client has multiple session, execute OCIAttrSet() for each session using the same client identifier. OCIAttrSet() must be executed automatically for each process when the session is reconnected in the event that sessions:

The client identifier is found in V$SESSION as a CLIENT_IDENTIFIER column or through the system context with this SQL statement:

SELECT sys_context('userenv', 'client_identifier') FROM dual;

See Also:

Oracle Database Security Guide the chapter on Preserving User Identity in Multitiered Environments

OCI_ATTR_PASSWORD

A middle-tier can ask the database server to authenticate a client on its behalf by validating the password of the client rather than doing the authentication itself. While it appears that this is the same as a client/server connection, the client does not have to have Oracle software installed on the client's system to be able to perform database operations. To use the password of the client, the application server supplies OCIAttrSet() with the authentication data, using the existing attribute OCI_ATTR_PASSWORD:

OCIAttrSet((dvoid *)session_handle, (ub4) OCI_HTYPE_SESSION, (dvoid *)password,
           (ub4)0, OCI_ATTR_PASSWORD, error_handle);
See Also:

"User Session Handle Attributes"

OCI Middle-Tier Example

Here is a middle-tier example:

...
*OCIEnv *environment_handle; 
OCIServer *data_server_handle; 
OCIError *error_handle; 
OCISvcCtx *application_server_service_handle; 
OraText *client_roles[2]; 
OCISession *first_client_session_handle, second_client_session_handle; 
...
/*
** General initialization and allocation of contexts. 
*/
 
(void) OCIInitialize((ub4) OCI_DEFAULT, (dvoid *)0,
                     (dvoid * (*)(dvoid *, size_t)) 0, 
                     (dvoid * (*)(dvoid *, dvoid *, size_t))0, 
                     (void (*)(dvoid *, dvoid *)) 0 ); 
(void) OCIEnvInit( (OCIEnv **) &environment_handle, OCI_DEFAULT, (size_t) 0,
     (dvoid **) 0 ); 
(void) OCIHandleAlloc( (dvoid *) environment_handle, (dvoid **) &error_handle,
     OCI_HTYPE_ERROR, (size_t) 0, (dvoid **) 0); 
/* 
** Allocate and initialize the server and service contexts used by the
** application server. 
*/ 

(void) OCIHandleAlloc( (dvoid *) environment_handle, 
     (dvoid **)&data_server_handle, OCI_HTYPE_SERVER, (size_t) 0, (dvoid **) 0); 
(void) OCIHandleAlloc( (dvoid *) environment_handle, (dvoid **)
     &application_server_service_handle, OCI_HTYPE_SVCCTX, (size_t) 0, 
     (dvoid **) 0);  
(void) OCIAttrSet((dvoid *) application_server_service_handle,
     OCI_HTYPE_SVCCTX, (dvoid *) data_server_handle, (ub4) 0, OCI_ATTR_SERVER,
     error_handle); 
/* 
** Authenticate the application server. In this case, external authentication is
** being used. 
*/

(void) OCIHandleAlloc((dvoid *) environment_handle, 
     (dvoid **)&application_server_session_handle, (ub4) OCI_HTYPE_SESSION,
     (size_t) 0, (dvoid **) 0); 
checkerr(error_handle, OCISessionBegin(application_server_service_handle,
     error_handle, application_server_session_handle, OCI_CRED_EXT,
     OCI_DEFAULT)); 
/* 
** Authenticate the first client ** Note that no password is specified by the 
** application server for the client as it is trusted. 
*/ 

(void) OCIHandleAlloc((dvoid *) environment_handle, 
     (dvoid **)&first_client_session_handle, (ub4) OCI_HTYPE_SESSION, 
     (size_t) 0,(dvoid **) 0); 
(void) OCIAttrSet((dvoid *) first_client_session_handle, 
     (ub4) OCI_HTYPE_SESSION, (dvoid *) "jeff", (ub4) strlen("jeff"),
     OCI_ATTR_USERNAME, error_handle); 
/* 
** In place of specifying a password, pass the session handle of the application
** server instead. 
*/ 

(void) OCIAttrSet((dvoid *) first_client_session_handle, 
     (ub4) OCI_HTYPE_SESSION, (dvoid *) application_server_session_handle, 
     (ub4) 0, OCI_ATTR_PROXY_CREDENTIALS, error_handle); 
(void) OCIAttrSet((dvoid *) first_client_session_handle, 
     (ub4) OCI_HTYPE_SESSION, (dvoid *) "jeff@VeryBigBank.com", 
     (ub4) strlen("jeff@VeryBigBank.com"), OCI_ATTR_EXTERNAL_NAME,
     error_handle); 
/* 
** Establish the roles that the application server can use as the client. 
*/
 
client_roles[0] = (OraText *) "TELLER"; 
client_roles[1] = (OraText *) "SUPERVISOR";
(void) OCIAttrSet((dvoid *) first_client_session_handle, 
     OCI_ATTR_INITIAL_CLIENT_ROLES, error_handle); 
checkerr(error_handle, OCISessionBegin(application_server_service_handle,
     error_handle, first_client_session_handle, OCI_CRED_PROXY, OCI_DEFAULT)); 
/* 
** To start a session as another client, the application server does the 
** following. It must be 
** noted this code is unchanged from the current way of doing session switching. 
*/

(void) OCIHandleAlloc((dvoid *) environment_handle, 
     (dvoid **)&second_client_session_handle, (ub4) OCI_HTYPE_SESSION, 
     (size_t) 0, (dvoid **) 0); 
(void) OCIAttrSet((dvoid *) second_client_session_handle, 
     (ub4) OCI_HTYPE_SESSION, (dvoid *) "mutt", (ub4) strlen("mutt"),
     OCI_ATTR_USERNAME, error_handle); 
(void) OCIAttrSet((dvoid *) second_client_session_handle, 
     (ub4) OCI_HTYPE_SESSION, (dvoid *) application_server_session_handle, 
     (ub4) 0, OCI_ATTR_PROXY_CREDENTIALS, error_handle); 
(void) OCIAttrSet((dvoid *) second_client_session_handle, 
     (ub4) OCI_HTYPE_SESSION, (dvoid *) "mutt@VeryBigBank.com", 
     (ub4) strlen("mutt@VeryBigBank.com"), OCI_ATTR_EXTERNAL_NAME,
     error_handle); 
/* 
** Note that the application server has not specified any initial roles to have
** as the second client. 
*/
 
checkerr(error_handle, OCISessionBegin(application_server_service_handle,
     error_handle, second_client_session_handle, OCI_CRED_PROXY, OCI_DEFAULT)); 
/* 
** To switch to the first user, the application server applies the session
** handle obtained by the first 
** OCISessionBegin() call. This is the same as is currently done. 
*/ 

(void) OCIAttrSet((dvoid *)application_server_service_handle, 
     (ub4) OCI_HTYPE_SVCCTX, (dvoid *)first_client_session_handle, 
     (ub4)0, (ub4)OCI_ATTR_SESSION, error_handle); 
/* 
** After doing some operations, the application server can switch to
** the second client. That 
** is be done by the following call: 
*/

(void) OCIAttrSet((dvoid *)application_server_service_handle, 
     (ub4) OCI_HTYPE_SVCCTX, 
     (dvoid *)second_client_session_handle, (ub4)0, (ub4)OCI_ATTR_SESSION,
     error_handle); 
/* 
** and then do operations as that client 
*/
...

End-to-End Application Tracing

Use the following attributes to measure server call time, not including server round trips. These attributes can also be set using the PL/SQL package DBMS_APPLICATION_INFO which incurs one round trip to the server. Using OCI to set the attributes does not incur a round trip.

OCI_ATTR_COLLECT_CALL_TIME

Set a boolean variable to TRUE or FALSE. Then, after you set this attribute by calling OCIAttrSet(), the server measures each call time. All server times between setting the variable to TRUE and setting it to FALSE are measured.

OCI_ATTR_CALL_TIME

The elapsed time, in milliseconds, of the last server call is returned in a ub8 variable by calling OCIAttrGet() with this attribute. The following code snippet shows how to do this:

boolean enable_call_time;
ub8 call_time;
...
enable_call_time = TRUE;
OCIAttrSet(session, OCI_HTYPE_SESSION, (dvoid *)&enable_call_time,
           (ub4)0, OCI_ATTR_COLLECT_CALL_TIME,
           (OCIError *)error_handle);
OCIStmtExecute(...);
OCIAttrGet(session, OCI_HTYPE_SESSION, (dvoid *)&call_time,
           (ub4)0, OCI_ATTR_CALL_TIME, 
           (OCIError *)error_handle);
...

Attributes for End-to-end Application Tracing

Set these attributes for tracing and debugging applications:

Externally Initialized Context in OCI

An externally initialized context is an application context where attributes can be initialized from OCI. Use the SQL statement CREATE CONTEXT to create a context namespace in the server with the option INITIALIZED EXTERNALLY.

Then, you can initialize an OCI interface when establishing a session using OCIAttrSet() and OCISessionBegin(). Issue subsequent commands to write to any attributes inside the namespace only with the PL/SQL package designated in the CREATE CONTEXT statement.

You are able to set default values and other session attributes through the OCISessionBegin() call, thus reducing server round trips.

See Also:

Externally Initialized Context Attributes in OCI

The client applications you develop can set application contexts explicitly in the session handle before authentication, using the following attributes in OCI functions:

OCI_ATTR_APPCTX_SIZE

Use this to initialize the context array size with the desired number of context attributes in the OCIAttrSet() call.

OCIAttrSet(session, (ub4) OCI_HTYPE_SESSION, 
           (dvoid *)&size, (ub4)0, OCI_ATTR_APPCTX_SIZE, error_handle); 

OCI_ATTR_APPCTX_LIST

Use this attribute to get a handle on the application context list descriptor for the session in the OCIAttrGet() call. (The parameter ctxl_desc must be of datatype OCIParam *).

OCIAttrGet(session, (ub4) OCI_HTYPE_SESSION, 
           (dvoid *)&ctxl_desc, (ub4)0, OCI_ATTR_APPCTX_LIST, error_handle);

Use the application context list descriptor to obtain an individual descriptor for the i-th application context in a call to OCIParamGet():

OCIParamGet(ctxl_desc, OCI_DTYPE_PARAM, error_handle,(dvoid **)&ctx_desc, i);

Session Handle Attributes Used to Set an Externally Initialized Context

Set the appropriate values of the application context using these attributes:

Each namespace can have many attributes, each of which has one value. Here are the calls you can use to set them:

OCIAttrSet(ctx_desc, OCI_DTYPE_PARAM,
     (dvoid *)ctx_name, sizeof(ctx_name), OCI_ATTR_APPCTX_NAME, error_handle);
  
OCIAttrSet(ctx_desc, OCI_DTYPE_PARAM,
     (dvoid *)attr_name, sizeof(attr_name), OCI_ATTR_APPCTX_ATTR, error_handle);  
  
OCIAttrSet(ctx_desc, OCI_DTYPE_PARAM,
     (dvoid *)value, sizeof(value), OCI_ATTR_APPCTX_VALUE, error_handle);  

Note that only character type is supported, because application context operations are based on the VARCHAR2 datatype.

See Also:

"User Session Handle Attributes"

Using OCISessionBegin() with an Externally initialized Context

When you call OCISessionBegin(), the context set in the session handle will be pushed to the server. No additional contexts are propagated to the server session. Here is a code example to illustrate use of these calls and attributes:

#include <stdio.h>
#include <stdlib.h>
#include <string.h>
#include <oci.h>

static OraText *username = (OraText *) "HR";
static OraText *password = (OraText *) "HR";

static OCIEnv *envhp;
static OCIError *errhp;

int main(/*_ int argc, char *argv[] _*/);

static sword status;

int main(argc, argv)
int argc;
char *argv[];
{

  OCISession *authp = (OCISession *) 0;
  OCIServer *srvhp;
  OCISvcCtx *svchp;
  OCIDefine *defnp = (OCIDefine *) 0;
  dvoid     *parmdp;
  ub4        ctxsize;
  OCIParam  *ctxldesc;
  OCIParam  *ctxedesc;

  OCIEnvCreate(&envhp, OCI_DEFAULT, (dvoid *)0, 0, 0, 0,
                            (size_t)0, (dvoid *)0);

  (void) OCIHandleAlloc( (dvoid *) envhp, (dvoid **) &errhp, OCI_HTYPE_ERROR,
                   (size_t) 0, (dvoid **) 0);

  /* server contexts */
  (void) OCIHandleAlloc( (dvoid *) envhp, (dvoid **) &srvhp, OCI_HTYPE_SERVER,
                   (size_t) 0, (dvoid **) 0);

  (void) OCIHandleAlloc( (dvoid *) envhp, (dvoid **) &svchp, OCI_HTYPE_SVCCTX,
                   (size_t) 0, (dvoid **) 0);

  (void) OCIServerAttach( srvhp, errhp, (OraText *)"", strlen(""), 0);

  /* set attribute server context in the service context */
  (void) OCIAttrSet( (dvoid *) svchp, OCI_HTYPE_SVCCTX, (dvoid *)srvhp,
                    (ub4) 0, OCI_ATTR_SERVER, (OCIError *) errhp);

  (void) OCIHandleAlloc((dvoid *) envhp, (dvoid **)&authp,
                        (ub4) OCI_HTYPE_SESSION, (size_t) 0, (dvoid **) 0);
/****************************************/
  /* set app ctx size to 2 because we want to set up 2 application contexts */
  ctxsize = 2;

  /* set up app ctx buffer */
  (void) OCIAttrSet((dvoid *) authp, (ub4) OCI_HTYPE_SESSION,
                 (dvoid *) &ctxsize, (ub4) 0,
                 (ub4) OCI_ATTR_APPCTX_SIZE, errhp);

  /* retrieve the list descriptor */
  (void) OCIAttrGet((dvoid *)authp, (ub4) OCI_HTYPE_SESSION,
                    (dvoid *)&ctxldesc, 0, OCI_ATTR_APPCTX_LIST, errhp );

  /* retrieve the 1st ctx element descriptor */
  (void) OCIParamGet(ctxldesc, OCI_DTYPE_PARAM, errhp, (dvoid**)&ctxedesc, 1);

  (void) OCIAttrSet((dvoid *) ctxedesc, (ub4) OCI_DTYPE_PARAM,
                 (dvoid *) "HR", (ub4) strlen((char *)"HR"),
                 (ub4) OCI_ATTR_APPCTX_NAME, errhp);

  (void) OCIAttrSet((dvoid *) ctxedesc, (ub4) OCI_DTYPE_PARAM,
                 (dvoid *) "ATTR1", (ub4) strlen((char *)"ATTR1"),
                 (ub4) OCI_ATTR_APPCTX_ATTR, errhp);

  (void) OCIAttrSet((dvoid *) ctxedesc, (ub4) OCI_DTYPE_PARAM,
                 (dvoid *) "VALUE1", (ub4) strlen((char *)"VALUE1"),
                 (ub4) OCI_ATTR_APPCTX_VALUE, errhp);

  /* set second context */
  (void) OCIParamGet(ctxldesc, OCI_DTYPE_PARAM, errhp, (dvoid**)&ctxedesc, 2);

  (void) OCIAttrSet((dvoid *) ctxedesc, (ub4) OCI_DTYPE_PARAM,
                 (dvoid *) "HR", (ub4) strlen((char *)"HR"),
                 (ub4) OCI_ATTR_APPCTX_NAME, errhp);

  (void) OCIAttrSet((dvoid *) ctxedesc, (ub4) OCI_DTYPE_PARAM,
                 (dvoid *) "ATTR2", (ub4) strlen((char *)"ATTR2"),
                 (ub4) OCI_ATTR_APPCTX_ATTR, errhp);

  (void) OCIAttrSet((dvoid *) ctxedesc, (ub4) OCI_DTYPE_PARAM,
                 (dvoid *) "VALUE2", (ub4) strlen((char *)"VALUE2"),
                 (ub4) OCI_ATTR_APPCTX_VALUE, errhp);
/****************************************/
  (void) OCIAttrSet((dvoid *) authp, (ub4) OCI_HTYPE_SESSION,
                 (dvoid *) username, (ub4) strlen((char *)username),
                 (ub4) OCI_ATTR_USERNAME, errhp);

  (void) OCIAttrSet((dvoid *) authp, (ub4) OCI_HTYPE_SESSION,
                 (dvoid *) password, (ub4) strlen((char *)password),
                 (ub4) OCI_ATTR_PASSWORD, errhp);

  OCISessionBegin ( svchp,  errhp, authp, OCI_CRED_EXT, (ub4) OCI_DEFAULT);

}