| Oracle® Database SQL Language Reference 11g Release 1 (11.1) Part Number B28286-01 |
|
|
View PDF |
Purpose
Use the CREATE TRIGGER statement to create a database trigger, which is:
A stored PL/SQL block associated with a table, a schema, or the database or
An anonymous PL/SQL block or a call to a procedure implemented in PL/SQL or Java
Oracle Database automatically executes a trigger when specified conditions occur.
Order of Trigger Firing If two or more triggers with different timing points (BEFORE, AFTER, INSTEAD OF) are defined for the same statement on the same table, then they fire in the following order:
All BEFORE statement triggers
All BEFORE row triggers
All AFTER row triggers
All AFTER statement triggers
If it is practical, you should consider replacing the set of individual triggers with different timing points with a single compound trigger that explicitly codes the actions in the order you intend.
If two or more triggers are defined with the same timing point, and the order in which they fire is important, then you can control the firing order using the FOLLOWS clause (see "FOLLOWS Clause").
If multiple compound triggers are specified on a table, then all BEFORE statement sections will be executed at the BEFORE statement timing point, BEFORE row sections will be executed at the BEFORE row timing point, and so forth. If trigger execution order has been specified using the FOLLOWS clause, then order of execution of compound trigger sections will be determined by the FOLLOWS clause. If FOLLOWS is specified only for some triggers but not all triggers, then the order of execution of triggers is guaranteed only for those that are related using the FOLLOWS clause.
See Also:
Oracle Database Concepts for a description of the various types of triggers and Oracle Database PL/SQL Language Reference for more information on how to design triggers
ALTER TRIGGER and ALTER TABLE for information on enabling, disabling, and compiling triggers, and DROP TRIGGER for information on dropping a trigger
Before a trigger can be created, the user SYS must run a SQL script commonly called DBMSSTDX.SQL. The exact name and location of this script depend on your operating system.
To create a trigger in your own schema on a table in your own schema or on your own schema (SCHEMA), you must have the CREATE TRIGGER system privilege.
To create a trigger in any schema on a table in any schema, or on another user's schema (schema.SCHEMA), you must have the CREATE ANY TRIGGER system privilege.
In addition to the preceding privileges, to create a trigger on DATABASE, you must have the ADMINISTER DATABASE TRIGGER system privilege.
If the trigger issues SQL statements or calls procedures or functions, then the owner of the trigger must have the privileges necessary to perform these operations. These privileges must be granted directly to the owner rather than acquired through roles.
Syntax
create_trigger::=

(simple_dml_trigger::=, compound_dml_trigger::=, non_dml_trigger::=)

(dml_event_clause ::=, referencing_clause::=
(dml_event_clause ::=, referencing_clause::=

dml_event_clause ::=


Semantics
Specify OR REPLACE to re-create the trigger if it already exists. Use this clause to change the definition of an existing trigger without first dropping it.
schema
Specify the schema to contain the trigger. If you omit schema, then Oracle Database creates the trigger in your own schema.
trigger
Specify the name of the trigger to be created.
If a trigger produces compilation errors, then it is still created, but it fails on execution. This means it effectively blocks all triggering DML statements until it is disabled, replaced by a version without compilation errors, or dropped. You can see the associated compiler error messages with the SQL*Plus command SHOW ERRORS.
Note:
If you create a trigger on a base table of a materialized view, then you must ensure that the trigger does not fire during a refresh of the materialized view. During refresh, theDBMS_MVIEW procedure I_AM_A_REFRESH returns TRUE.simple_dml_trigger
Use this clause to define a single trigger on a DML event.
Specify BEFORE to cause the database to fire the trigger before executing the triggering event. For row triggers, the trigger is fired before each affected row is changed.
Restrictions on BEFORE Triggers BEFORE triggers are subject to the following restrictions:
You cannot specify a BEFORE trigger on a view.
In a BEFORE statement trigger, or in BEFORE statement section of a compound trigger, you cannot specify either :NEW or :OLD. A BEFORE row trigger or a BEFORE row section of a compound trigger can read and write into the :OLD or :NEW fields.
Specify AFTER to cause the database to fire the trigger after executing the triggering event. For row triggers, the trigger is fired after each affected row is changed.
Restrictions on AFTER Triggers AFTER triggers are subject to the following restrictions:
You cannot specify an AFTER trigger on a view.
In an AFTER statement trigger or in AFTER statement section of a compound trigger, you cannot specify either :NEW or :OLD. An AFTER row trigger or AFTER row section of a compound trigger can only read but not write into the :OLD or :NEW fields.
Note:
When you create a materialized view log for a table, Oracle Database implicitly creates anAFTER ROW trigger on the table. This trigger inserts a row into the materialized view log whenever an INSERT, UPDATE, or DELETE statement modifies data in the master table. You cannot control the order in which multiple row triggers fire. Therefore, you should not write triggers intended to affect the content of the materialized view.See Also:
CREATE MATERIALIZED VIEW LOG for more information on materialized view logsSpecify INSTEAD OF to cause Oracle Database to fire the trigger instead of executing the triggering event. You can achieve the same effect when you specify an INSTEAD OF ROW section in a compound trigger.
Note:
Oracle Database fine-grained access control lets you define row-level security policies on views. These policies enforce specified rules in response to DML operations. If anINSTEAD OF trigger is also defined on the view, then the database will not enforce the row-level security policies, because the database fires the INSTEAD OF trigger instead of executing the DML on the view.INSTEAD OF triggers are valid for DML events on any views. They are not valid for DDL or database events, and you cannot specify an INSTEAD OF trigger on a table.
You can read both the :OLD and the :NEW value, but you cannot write either the :OLD or the :NEW value.
If a view is inherently updatable and has INSTEAD OF triggers, then the triggers take preference. The database fires the triggers instead of performing DML on the view.
If the view belongs to a hierarchy, then the trigger is not inherited by subviews.
The DML_event_clause lets you specify one of three DML statements that can cause the trigger to fire. Oracle Database fires the trigger in the existing user transaction.
You cannot specify the MERGE keyword in the DML_event_clause. If you want a trigger to fire in relation to a MERGE operation, then you must create triggers on the INSERT and UPDATE operations to which the MERGE operation decomposes.
See Also:
"Creating a DML Trigger: Examples"DELETE Specify DELETE if you want the database to fire the trigger whenever a DELETE statement removes a row from the table or removes an element from a nested table.
INSERT Specify INSERT if you want the database to fire the trigger whenever an INSERT statement adds a row to a table or adds an element to a nested table.
UPDATE Specify UPDATE if you want the database to fire the trigger whenever an UPDATE statement changes a value in one of the columns specified after OF. If you omit OF, then the database fires the trigger whenever an UPDATE statement changes a value in any column of the table or nested table.
For an UPDATE trigger, you can specify object type, varray, and REF columns after OF to indicate that the trigger should be fired whenever an UPDATE statement changes a value in one of the columns. However, you cannot change the values of these columns in the body of the trigger itself.
Note:
Using OCI functions or theDBMS_LOB package to update LOB values or LOB attributes of object columns does not cause Oracle Database to fire triggers defined on the table containing the columns or the attributes.Restrictions on Triggers on UPDATE Operations The UPDATE clause is subject to the following restrictions:
You cannot specify UPDATE OF for an INSTEAD OF trigger. Oracle Database fires INSTEAD OF triggers whenever an UPDATE changes a value in any column of the view.
You cannot specify a nested table or LOB column in the UPDATE OF clause.
See Also:
AS subquery clause of CREATE VIEW for a list of constructs that prevent inserts, updates, or deletes on a viewPerforming DML operations directly on nested table columns does not cause Oracle Database to fire triggers defined on the table containing the nested table column.
ON table | view The ON clause lets you determine the database object on which the trigger is to be created. Specify the schema and table or view name of one of the following on which the trigger is to be created:
Table or view
Object table or object view
A column of nested-table type
If you omit schema, then Oracle Database assumes the table is in your own schema.
Restriction on Schema You cannot create a trigger on a table in the schema SYS.
NESTED TABLE Clause Specify the nested_table_column of a view upon which the trigger is being defined. Such a trigger will fire only if the DML operates on the elements of the nested table.
Restriction on Triggers on Nested Tables You can specify NESTED TABLE only for INSTEAD OF triggers.
The referencing_clause lets you specify correlation names. You can use correlation names in the trigger body and WHEN condition of a row trigger to refer specifically to old and new values of the current row. The default correlation names are OLD and NEW. If your row trigger is associated with a table named OLD or NEW, then use this clause to specify different correlation names to avoid confusion between the table name and the correlation name.
If the trigger is defined on a nested table, then OLD and NEW refer to the row of the nested table, and PARENT refers to the current row of the parent table.
If the trigger is defined on an object table or view, then OLD and NEW refer to object instances.
Restriction on the referencing_clause The referencing_clause is not valid with INSTEAD OF triggers on CREATE DDL events.
Specify FOR EACH ROW to designate the trigger as a row trigger. Oracle Database fires a row trigger once for each row that is affected by the triggering statement and meets the optional trigger constraint defined in the WHEN condition.
Except for INSTEAD OF triggers, if you omit this clause, then the trigger is a statement trigger. Oracle Database fires a statement trigger only once when the triggering statement is issued if the optional trigger constraint is met.
INSTEAD OF trigger statements are implicitly activated for each row.
Restriction on Row Triggers This clause is valid only for simple DML triggers, not for compound DML triggers or for DDL or database event triggers.
compound_dml_trigger
Use this clause to define a compound trigger on a DML event. The body of a COMPOUND trigger can have up to four sections, so that you can specify a before statement, before row, after row, or after statement operation in one trigger.
The dml_event_clause and the referencing_clause have the same semantics for compound DML triggers as for simple DML triggers.
Restriction on Compound Triggers You cannot specify the FOR EACH ROW clause for a compound trigger.
See Also:
Oracle Database PL/SQL Language Reference for information on writing the trigger body for compound triggers, including additional PL/SQL restrictionsnon_dml_trigger
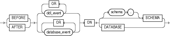
Use this clause to define a single trigger on a DDL or database event.
Specify one or more types of DDL statements that can cause the trigger to fire. You can create triggers for these events on DATABASE or SCHEMA unless otherwise noted. You can create BEFORE and AFTER triggers for these events. Oracle Database fires the trigger in the existing user transaction.
Restriction on Triggers on DDL Events You cannot specify as a triggering event any DDL operation performed through a PL/SQL procedure.
See Also:
"Creating a DDL Trigger: Example"The following ddl_event values are valid:
ALTER Specify ALTER to fire the trigger whenever an ALTER statement modifies a database object in the data dictionary. The trigger will not be fired by an ALTER DATABASE statement.
ANALYZE Specify ANALYZE to fire the trigger whenever the database collects or deletes statistics or validates the structure of a database object.
See Also:
ANALYZE for information on various ways of collecting statisticsASSOCIATE STATISTICS Specify ASSOCIATE STATISTICS to fire the trigger whenever the database associates a statistics type with a database object.
AUDIT Specify AUDIT to fire the trigger whenever the database tracks the occurrence of a SQL statement or tracks operations on a schema object.
COMMENT Specify COMMENT to fire the trigger whenever a comment on a database object is added to the data dictionary.
CREATE Specify CREATE to fire the trigger whenever a CREATE statement adds a new database object to the data dictionary. The trigger will not be fired by a CREATE DATABASE or CREATE CONTROLFILE statement.
DISASSOCIATE STATISTICS Specify DISASSOCIATE STATISTICS to fire the trigger whenever the database disassociates a statistics type from a database object.
DROP Specify DROP to fire the trigger whenever a DROP statement removes a database object from the data dictionary.
GRANT Specify GRANT to fire the trigger whenever a user grants system privileges or roles or object privileges to another user or to a role.
NOAUDIT Specify NOAUDIT to fire the trigger whenever a NOAUDIT statement instructs the database to stop tracking a SQL statement or operations on a schema object.
RENAME Specify RENAME to fire the trigger whenever a RENAME statement changes the name of a database object.
REVOKE Specify REVOKE to fire the trigger whenever a REVOKE statement removes system privileges or roles or object privileges from a user or role.
TRUNCATE Specify TRUNCATE to fire the trigger whenever a TRUNCATE statement removes the rows from a table or cluster and resets its storage characteristics.
DDL Specify DDL to fire the trigger whenever any of the preceding DDL statements is issued.
Specify one or more particular states of the database that can cause the trigger to fire. You can create triggers for these events on DATABASE or SCHEMA unless otherwise noted. For each of these triggering events, Oracle Database opens an autonomous transaction scope, fires the trigger, and commits any separate transaction (regardless of any existing user transaction).
See Also:
"Creating a Database Event Trigger: Example" and Oracle Database PL/SQL Language Reference for more information about responding to database events through triggersEach database event is valid in either a BEFORE trigger or an AFTER trigger, but not both. The following database_event values are valid:
AFTER STARTUP Specify AFTER STARTUP to fire the trigger whenever the database is opened. This event is valid only with DATABASE, not with SCHEMA.
BEFORE SHUTDOWN Specify BEFORE SHUTDOWN to fire the trigger whenever an instance of the database is shut down. This event is valid only with DATABASE, not with SCHEMA.
AFTER DB_ROLE_CHANGE In a Data Guard configuration, specify AFTER DB_ROLE_CHANGE to fire the trigger whenever a role change occurs from standby to primary or from primary to standby. This event is valid only with DATABASE, not with SCHEMA..
AFTER LOGON Specify AFTER LOGON to fire the trigger whenever a client application logs onto the database.
BEFORE LOGOFF Specify BEFORE LOGOFF to fire the trigger whenever a client application logs off the database.
AFTER SERVERERROR Specify AFTER SERVERERROR to fire the trigger whenever a server error message is logged.
The following errors do not cause a SERVERERROR trigger to fire:
ORA-01403: no data found
ORA-01422: exact fetch returns more than requested number of rows
ORA-01423: error encountered while checking for extra rows in exact fetch
ORA-01034: ORACLE not available
ORA-04030: out of process memory when trying to allocate string bytes (string, string)
AFTER SUSPEND Specify SUSPEND to fire the trigger whenever a server error causes a transaction to be suspended.
See Also:
Oracle Database PL/SQL Language Reference for more information on autonomous transaction scopeDATABASE Specify DATABASE to define the trigger on the entire database. The trigger fires whenever any database user initiates the triggering event.
SCHEMA Specify SCHEMA to define the trigger on the current schema. The trigger fires whenever any user connected as schema initiates the triggering event.
See Also:
"Creating a SCHEMA Trigger: Example"This clause lets you order the executions of multiple triggers relative to each other. For example, consider two BEFORE ROW ... FOR UPDATE triggers defined on the same table. One trigger needs to reference the :OLD value, and the other trigger needs to change the :OLD value. In this case, you can use FOLLOWS clause to order the firing sequence. Specify FOLLOWS to indicate that the trigger being created should fire after the specified triggers.
The specified triggers must already exist, they must be defined on the same table as the trigger being created, and they must have been successfully compiled. They need not be enabled.
You can specify FOLLOWS in the definition of a simple trigger with a compound trigger target, or in the definition of a compound trigger with a simple trigger target. In these cases, the FOLLOWS keyword applies only to the section of the compound trigger with the same timing point as the sample trigger. If the compound trigger has no such timing point, then FOLLOWS is quietly ignored.
See Also:
"Order of Trigger Firing" for more information on the order in which the database fires triggersUse this clause to create the trigger in an enabled or disabled state. Creating a trigger in a disabled state lets you ensure that the trigger compiles without errors before you put into actual use.
Specify DISABLE to create the trigger in disabled form. You can subsequently issue an ALTER TRIGGER ... ENABLE or ALTER TABLE ... ENABLE ALL TRIGGERS statement to enable the trigger. If you omit this clause, then the trigger is enabled when it is created.
See Also:
ALTER TRIGGER andCREATE TABLE ... ENABLE ALL TRIGGERS for information on enabling triggersSpecify the trigger condition, which is a SQL condition that must be satisfied for the database to fire the trigger. See the syntax description of condition in Chapter 7, "Conditions". This condition must contain correlation names and cannot contain a query.
The NEW and OLD keywords, when specified in the WHEN clause, are not considered bind variables, so are not preceded by a colon (:). However, you must precede NEW and OLD with a colon in all references other than the WHEN clause.
Restrictions on Trigger Conditions Trigger conditions are subject to the following restrictions:
If you specify this clause for a DML event trigger, then you must also specify FOR EACH ROW. Oracle Database evaluates this condition for each row affected by the triggering statement.
You cannot specify trigger conditions for INSTEAD OF trigger statements.
You can reference object columns or their attributes, or varray, nested table, or LOB columns. You cannot invoke PL/SQL functions or methods in the trigger condition.
Specify the PL/SQL block, PL/SQL compound trigger block, or call procedure that Oracle Database executes to fire the trigger.
See Also:
Oracle Database PL/SQL Language Reference for information on how to write PL/SQL blocks, compound trigger blocks, and call proceduresCreating a DML Trigger: Examples This example shows the basic syntax for a BEFORE statement trigger. You would write such a trigger to place restrictions on DML statements issued on a table, for example, when such statements could be issued.
CREATE TRIGGER schema.trigger_name BEFORE DELETE OR INSERT OR UPDATE ON schema.table_name pl/sql_block
Oracle Database fires such a trigger whenever a DML statement affects the table. This trigger is a BEFORE statement trigger, so the database fires it once before executing the triggering statement.
The next example shows a partial BEFORE row trigger. The PL/SQL block might specify, for example, that an employee's salary must fall within the established salary range for the employee's job:
CREATE TRIGGER hr.salary_check
BEFORE INSERT OR UPDATE OF salary, job_id ON hr.employees
FOR EACH ROW
WHEN (new.job_id <> 'AD_VP')
pl/sql_block
Oracle Database fires this trigger whenever one of the following statements is issued:
An INSERT statement that adds rows to the employees table
An UPDATE statement that changes values of the salary or job_id columns of the employees table
salary_check is a BEFORE row trigger, so the database fires it before changing each row that is updated by the UPDATE statement or before adding each row that is inserted by the INSERT statement.
salary_check has a trigger condition that prevents it from checking the salary of the administrative vice president (AD_VP).
Creating a DDL Trigger: Example This example creates an AFTER statement trigger on any DDL statement CREATE. Such a trigger can be used to audit the creation of new data dictionary objects in your schema.
CREATE TRIGGER audit_db_object AFTER CREATE
ON SCHEMA
pl/sql_block
Calling a Procedure in a Trigger Body: Example You could create the salary_check trigger described in the preceding example by calling a procedure instead of providing the trigger body in a PL/SQL block. Assume you have defined a procedure check_sal in the hr schema, which verifies that an employee's salary is in an appropriate range. Then you could create the trigger salary_check as follows:
CREATE TRIGGER salary_check BEFORE INSERT OR UPDATE OF salary, job_id ON employees FOR EACH ROW WHEN (new.job_id <> 'AD_VP') CALL check_sal(:new.job_id, :new.salary, :new.last_name)
The procedure check_sal could be implemented in PL/SQL, C, or Java. Also, you can specify :OLD values in the CALL clause instead of :NEW values.
Creating a Database Event Trigger: Example This example shows the basic syntax for a trigger to log all errors. The hypothetical PL/SQL block does some special processing for a particular error (invalid logon, error number 1017). This trigger is an AFTER statement trigger, so it is fired after an unsuccessful statement execution, such as unsuccessful logon.
CREATE TRIGGER log_errors AFTER SERVERERROR ON DATABASE BEGIN IF (IS_SERVERERROR (1017)) THEN <special processing of logon error> ELSE <log error number> END IF; END;
Creating an INSTEAD OF Trigger: Example In this example, an oe.order_info view is created to display information about customers and their orders:
CREATE VIEW order_info AS
SELECT c.customer_id, c.cust_last_name, c.cust_first_name,
o.order_id, o.order_date, o.order_status
FROM customers c, orders o
WHERE c.customer_id = o.customer_id;
Normally this view would not be updatable, because the primary key of the orders table (order_id) is not unique in the result set of the join view. To make this view updatable, create an INSTEAD OF trigger on the view to process INSERT statements directed to the view. The PL/SQL trigger implementation is shown in italics.
CREATE OR REPLACE TRIGGER order_info_insert INSTEAD OF INSERT ON order_info DECLARE duplicate_info EXCEPTION; PRAGMA EXCEPTION_INIT (duplicate_info, -00001); BEGIN INSERT INTO customers (customer_id, cust_last_name, cust_first_name) VALUES ( :new.customer_id, :new.cust_last_name, :new.cust_first_name); INSERT INTO orders (order_id, order_date, customer_id) VALUES ( :new.order_id, :new.order_date, :new.customer_id); EXCEPTION WHEN duplicate_info THEN RAISE_APPLICATION_ERROR ( num=> -20107, msg=> 'Duplicate customer or order ID'); END order_info_insert; /
You can now insert into both base tables through the view (as long as all NOT NULL columns receive values):
INSERT INTO order_info VALUES (999, 'Smith', 'John', 2500, '13-MAR-2001', 0);
Creating a SCHEMA Trigger: Example The following example creates a BEFORE statement trigger on the sample schema hr. When a user connected as hr attempts to drop a database object, the database fires the trigger before dropping the object:
CREATE OR REPLACE TRIGGER drop_trigger
BEFORE DROP ON hr.SCHEMA
BEGIN
RAISE_APPLICATION_ERROR (
num => -20000,
msg => 'Cannot drop object');
END;
/