| Oracle® Database SQL Reference 10g Release 2 (10.2) Part Number B14200-01 |
|
|
View PDF |
Syntax
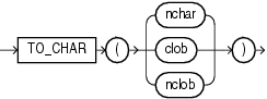
to_char_char::=

Purpose
TO_CHAR (character) converts NCHAR, NVARCHAR2, CLOB, or NCLOB data to the database character set.
When you use this function to convert a character LOB into the database character set, if the LOB value to be converted is larger than the target type, then the database returns an error.
You can use this function in conjunction with any of the XML functions to generate a date in the database format rather than the XML Schema standard format.
|
See Also:
|
Examples
The following example interprets a simple string as character data:
SELECT TO_CHAR('01110') FROM DUAL;
TO_CH
-----
01110
Compare this example with the first example for TO_CHAR (number).
The following example converts some CLOB data from the pm.print_media table to the database character set:
SELECT TO_CHAR(ad_sourcetext) FROM print_media
WHERE product_id = 2268;
TO_CHAR(AD_SOURCETEXT)
--------------------------------------------------------------------
******************************
TIGER2 2268...Standard Hayes Compatible Modem
Product ID: 2268
The #1 selling modem in the universe! Tiger2's modem includes call management
and Internet voicing. Make real-time full duplex phone calls at the same time
you're online.
**********************************