| Oracle® Database SQL Reference 10g Release 2 (10.2) Part Number B14200-01 |
|
|
View PDF |
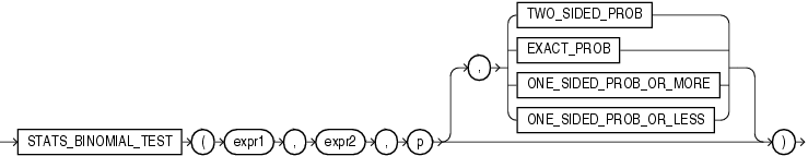
Syntax

Purpose
STATS_BINOMIAL_TEST is an exact probability test used for dichotomous variables, where only two possible values exist. It tests the difference between a sample proportion and a given proportion. The sample size in such tests is usually small.
This function takes four arguments: expr1 is the sample being examined. expr2 contains the values for which the proportion is expected to be, and p is a proportion to test against. The fourth argument is a return value of type VARCHAR2. If you omit the fourth argument, the default is TWO_SIDED_PROB. The meaning of the return values is shown in Table 5-3.
Table 5-3 STATS_BINOMIAL Return Values
| Return Value | Meaning |
|---|---|
TWO_SIDED_PROB |
The probability that the given population proportion, p, could result in the observed proportion or a more extreme one. |
EXACT_PROB |
The probability that the given population proportion, p, could result in exactly the observed proportion. |
ONE_SIDED_PROB_OR_MORE |
The probability that the given population proportion, p, could result in the observed proportion or a larger one. |
ONE_SIDED_PROB_OR_LESS |
The probability that the given population proportion, p, could result in the observed proportion or a smaller one. |
EXACT_PROB gives the probability of getting exactly proportion p. In cases where you want to test whether the proportion found in the sample is significantly different from a 50-50 split, p would normally be 0.50. If you want to test only whether the proportion is different, then use the return value TWO_SIDED_PROB. If your test is whether the proportion is more than the value of expr2, then use the return value ONE_SIDED_PROB_OR_MORE. If the test is to determine whether the proportion of expr2 is less, then use the return value ONE_SIDED_PROB_OR_LESS.
STATS_BINOMIAL_TEST Example The following example determines the probability that reality exactly matches the number of men observed under the assumption that 69% of the population is composed of men:
SELECT AVG(DECODE(cust_gender, 'M', 1, 0)) real_proportion,
STATS_BINOMIAL_TEST
(cust_gender, 'M', 0.68, 'EXACT_PROB') exact,
STATS_BINOMIAL_TEST
(cust_gender, 'M', 0.68, 'ONE_SIDED_PROB_OR_LESS') prob_or_less
FROM sh.customers;