| Oracle® Database SQL Reference 10g Release 2 (10.2) Part Number B14200-01 |
|
|
View PDF |
An in_condition is a membership condition. It tests a value for membership in a list of values or subquery
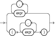
in_conditions::=

expression_list::=

If you use the upper form of the in_condition condition (with a single expression to the left of the operator), then you must use the upper form of expression_list. If you use the lower form of this condition (with multiple expressions to the left of the operator), then you must use the lower form of expression_list, and the expressions in each expression_list must match in number and datatype the expressions to the left of the operator.
Table 7-12 lists the form of IN condition.
| Type of Condition | Operation | Example |
|---|---|---|
IN |
Equal-to-any-member-of test. Equivalent to =ANY. |
SELECT * FROM employees
WHERE job_id IN
('PU_CLERK','SH_CLERK');
SELECT * FROM employees
WHERE salary IN
(SELECT salary
FROM employees
WHERE department_id =30);
|
NOT IN |
Equivalent to !=ALL. Evaluates to FALSE if any member of the set is NULL. |
SELECT * FROM employees
WHERE salary NOT IN
(SELECT salary
FROM employees
WHERE department_id = 30);
SELECT * FROM employees
WHERE job_id NOT IN
('PU_CLERK', 'SH_CLERK');
|
If any item in the list following a NOT IN operation evaluates to null, then all rows evaluate to FALSE or UNKNOWN, and no rows are returned. For example, the following statement returns the string 'True' for each row:
SELECT 'True' FROM employees WHERE department_id NOT IN (10, 20);
However, the following statement returns no rows:
SELECT 'True' FROM employees
WHERE department_id NOT IN (10, 20, NULL);
The preceding example returns no rows because the WHERE clause condition evaluates to:
department_id != 10 AND department_id != 20 AND department_id != null
Because the third condition compares department_id with a null, it results in an UNKNOWN, so the entire expression results in FALSE (for rows with department_id equal to 10 or 20). This behavior can easily be overlooked, especially when the NOT IN operator references a subquery.
Moreover, if a NOT IN condition references a subquery that returns no rows at all, then all rows will be returned, as shown in the following example:
SELECT 'True' FROM employees WHERE department_id NOT IN (SELECT 0 FROM DUAL WHERE 1=2);
Restriction on LEVEL in WHERE Clauses In a [NOT] IN condition in a WHERE clause, if the right-hand side of the condition is a subquery, you cannot use LEVEL on the left-hand side of the condition. However, you can specify LEVEL in a subquery of the FROM clause to achieve the same result. For example, the following statement is not valid:
SELECT employee_id, last_name FROM employees
WHERE (employee_id, LEVEL)
IN (SELECT employee_id, 2 FROM employees)
START WITH employee_id = 2
CONNECT BY PRIOR employee_id = manager_id;
But the following statement is valid because it encapsulates the query containing the LEVEL information in the FROM clause:
SELECT v.employee_id, v.last_name, v.lev
FROM
(SELECT employee_id, last_name, LEVEL lev
FROM employees v
START WITH employee_id = 100
CONNECT BY PRIOR employee_id = manager_id) v
WHERE (v.employee_id, v.lev) IN
(SELECT employee_id, 2 FROM employees);