| Oracle® Database SQL Reference 10g Release 1 (10.1) Part Number B10759-01 |
|
|
View PDF |
Purpose
Use the CREATE TYPE statement to create the specification of an object type, a SQLJ object type, a named varying array (varray), a nested table type, or an incomplete object type. You create object types with the CREATE TYPE and the CREATE TYPE BODY statements. The CREATE TYPE statement specifies the name of the object type, its attributes, methods, and other properties. The CREATE TYPE BODY statement contains the code for the methods that implement the type.
|
Notes:
|
An incomplete type is a type created by a forward type definition. It is called "incomplete" because it has a name but no attributes or methods. It can be referenced by other types, and so can be used to define types that refer to each other. However, you must fully specify the type before you can use it to create a table or an object column or a column of a nested table type.
|
See Also:
|
Prerequisites
To create a type in your own schema, you must have the CREATE TYPE system privilege. To create a type in another user's schema, you must have the CREATE ANY TYPE system privilege. You can acquire these privileges explicitly or be granted them through a role.
To create a subtype, you must have the UNDER ANY TYPE system privilege or the UNDER object privilege on the supertype.
The owner of the type must be explicitly granted the EXECUTE object privilege in order to access all other types referenced within the definition of the type, or the type owner must be granted the EXECUTE ANY TYPE system privilege. The owner cannot obtain these privileges through roles.
If the type owner intends to grant other users access to the type, then the owner must be granted the EXECUTE object privilege on the referenced types with the GRANT OPTION or the EXECUTE ANY TYPE system privilege with the ADMIN OPTION. Otherwise, the type owner has insufficient privileges to grant access on the type to other users.
Syntax

(create_incomplete_type::=, create_object_type::=, create_varray_type::=, create_nested_table_type::=)


(invoker_rights_clause::=, element_spec::=)




(inheritance_clauses::=, subprogram_spec::=, constructor_spec ::=, map_order_function_spec::=, pragma_clause ::=)


(procedure_spec::=, function_spec::=)





(call_spec ::=, sqlj_object_type_sig::=)







Semantics
Specify OR REPLACE to re-create the type if it already exists. Use this clause to change the definition of an existing type without first dropping it.
Users previously granted privileges on the re-created object type can use and reference the object type without being granted privileges again.
If any function-based indexes depend on the type, then Oracle Database marks the indexes DISABLED.
Specify the schema to contain the type. If you omit schema, then Oracle Database creates the type in your current schema.
Specify the name of an object type, a nested table type, or a varray type.
If creating the type results in compilation errors, then the database returns an error. You can see the associated compiler error messages with the SQL*Plus command SHOW ERRORS.
Oracle Database implicitly defines a constructor method for each user-defined type that you create. A constructor is a system-supplied procedure that is used in SQL statements or in PL/SQL code to construct an instance of the type value. The name of the constructor method is the same as the name of the user-defined type. You can also create a user-defined constructor using the constructor_spec syntax.
The parameters of the object type constructor method are the data attributes of the object type. They occur in the same order as the attribute definition order for the object type. The parameters of a nested table or varray constructor are the elements of the nested table or the varray.
Use the create_object_type clause to create a user-defined object type. The variables that form the data structure are called attributes. The member subprograms that define the behavior of the object are called methods. The keywords AS OBJECT are required when creating an object type.
The OID clause is useful for establishing type equivalence of identical objects in more than one database. Please refer to Oracle Data Cartridge Developer's Guide for information on this clause.
The invoker_rights_clause lets you specify whether the member functions and procedures of the object type execute with the privileges and in the schema of the user who owns the object type or with the privileges and in the schema of CURRENT_USER. This specification applies to the corresponding type body as well.
This clause also determines how Oracle Database resolves external names in queries, DML operations, and dynamic SQL statements in the member functions and procedures of the type.
Specify AUTHID CURRENT_USER if you want the member functions and procedures of the object type to execute with the privileges of CURRENT_USER. This clause creates an invoker-rights type.
This clause also indicates that external names in queries, DML operations, and dynamic SQL statements resolve in the schema of CURRENT_USER. External names in all other statements resolve in the schema in which the type resides.
Specify AUTHID DEFINER if you want the member functions and procedures of the object type to execute with the privileges of the owner of the schema in which the functions and procedures reside, and that external names resolve in the schema where the member functions and procedures reside. This is the default and creates a definer-rights type.
You can specify this clause only for an object type, not for a nested table or varray type.
You can specify this clause for clarity if you are creating a subtype. However, subtypes inherit the rights model of their supertypes, so you cannot specify a different value than was specified for the supertype.
If the supertype was created with definer's rights, then you must create the subtype in the same schema as the supertype.
|
See Also:
|
Specify AS OBJECT to create a top-level object type. Such object types are sometimes called root object types.
Specify UNDER supertype to create a subtype of an existing type. The existing supertype must be an object type. The subtype you create in this statement inherits the properties of its supertype. It must either override some of those properties or add new properties to distinguish it from the supertype.
Specify this clause to create a SQLJ object type. In a SQLJ object type, you map a Java class to a SQL user-defined type. You can then define tables or columns on the SQLJ object type as you would with any other user-defined type.
You can map one Java class to multiple SQLJ object types. If there exists a subtype or supertype of a SQLJ object type, then it must also be a SQLJ object type. That is, all types in the hierarchy must be SQLJ object types.
Specify the name of the Java class. If the class exists, it must be public. The Java external name, including the schema, will be validated.
Multiple SQLJ object types can be mapped to the same class. However:
A subtype must be mapped to a class that is an immediate subclass of the class to which its supertype is mapped.
Two subtypes of a common supertype cannot be mapped to the same class.
Choose the mechanism for creating the Java instance of the type. SQLData, CustomDatum, and OraData are the interfaces that determine which mechanism will be used.
|
See Also: Oracle Database JDBC Developer's Guide and Reference for information on these three interfaces and "SQLJ Object Type Example" |
The element_spec lets you specify each attribute of the object type.
For attribute, specify the name of an object attribute. Attributes are data items with a name and a type specifier that form the structure of the object. You must specify at least one attribute for each object type.
If you are creating a subtype, the attribute name cannot be the same as any attribute or method name declared in the supertype chain.
For datatype, specify the Oracle Database built-in datatype or user-defined type of the attribute.
You cannot specify attributes of type ROWID, LONG, or LONG RAW.
You cannot specify a datatype of UROWID for a user-defined object type.
If you specify an object of type REF, then the target object must have an object identifier.
If you are creating a collection type for use as a nested table or varray column of a table, then you cannot specify attributes of type AnyType, AnyData, or AnyDataSet.
This clause is valid only if you have specified the sqlj_object_type clause—that is, you are mapping a Java class to a SQLJ object type. Specify the external name of the Java field that corresponds to the attribute of the SQLJ object type. The Java field_name must already exist in the class. You cannot map a Java field_name to more than one SQLJ object type attribute in the same type hierarchy.
This clause is optional when you create a SQLJ object type.
The subprogram_spec lets you associate a procedure subprogram with the object type.
Specify a function or procedure subprogram associated with the object type that is referenced as an attribute. Typically, you invoke MEMBER methods in a selfish style, such as object_expression.method(). This class of method has an implicit first argument referenced as SELF in the method body, which represents the object on which the method has been invoked.
You cannot specify a MEMBER method if you are mapping a Java class to a SQLJ object type.
Specify a function or procedure subprogram associated with the object type. Unlike MEMBER methods, STATIC methods do not have any implicit parameters. That is, you cannot reference SELF in their body. They are typically invoked as type_name.method().
You cannot map a MEMBER method in a Java class to a STATIC method in a SQLJ object type.
For both MEMBER and STATIC methods, you must specify a corresponding method body in the object type body for each procedure or function specification.
At the top level of the syntax, these clauses specify the inheritance attributes of the type.
Use the [NOT] FINAL clause to indicate whether any further subtypes can be created for this type:
Specify FINAL if no further subtypes can be created for this type. This is the default.
Specify NOT FINAL if further subtypes can be created under this type.
Use the [NOT] INSTANTIABLE clause to indicate whether any object instances of this type can be constructed:
Specify INSTANTIABLE if object instances of this type can be constructed. This is the default.
Specify NOT INSTANTIABLE if no default or user-defined constructor exists for this object type. You must specify these keywords for any type with noninstantiable methods and for any type that has no attributes, either inherited or specified in this statement.
As part of the element_spec, the inheritance_clauses let you specify the relationship between supertypes and subtypes.
This clause is valid only for MEMBER methods. Specify OVERRIDING to indicate that this method overrides a MEMBER method defined in the supertype. This keyword is required if the method redefines a supertype method. NOT OVERRIDING is the default.
The OVERRIDING clause is not valid for a STATIC method or for a SQLJ object type.
Specify FINAL to indicate that this method cannot be overridden by any subtype of this type. The default is NOT FINAL.
Specify NOT INSTANTIABLE if the type does not provide an implementation for this method. By default all methods are INSTANTIABLE.
If you specify NOT INSTANTIABLE, then you cannot specify FINAL or STATIC.
Use these clauses to specify the parameters and datatypes of the procedure or function. If this subprogram does not include the declaration of the procedure or function, then you must issue a corresponding CREATE TYPE BODY statement.
If you are creating a subtype, then the name of the procedure or function cannot be the same as the name of any attribute, whether inherited or not, declared in the supertype chain.
The first form of the return_clause is valid only for a function. The syntax shown is an abbreviated form.
|
See Also:
|
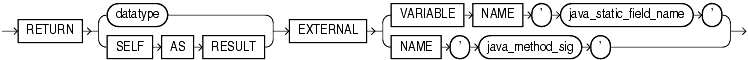
Use this form of the return_clause if you intend to create SQLJ object type functions or procedures.
If you are mapping a Java class to a SQLJ object type and you specify EXTERNAL NAME, then the value of the Java method returned must be compatible with the SQL returned value, and the Java method must be public. Also, the method signature (method name plus parameter types) must be unique within the type hierarchy.
If you specify EXTERNAL VARIABLE NAME, then the type of the Java static field must be compatible with the return type.
Specify the call specification (call spec) that maps a Java or C method name, parameter types, and return type to their SQL counterparts. If all the member methods in the type have been defined in this clause, then you need not issue a corresponding CREATE TYPE BODY statement.
The Java_declaration string identifies the Java implementation of the method.
|
See Also: Oracle Database Java Developer's Guide and Oracle Database Application Developer's Guide - Fundamentals for an explanation of the parameters and semantics of the Java and C declarations, respectively |
The pragma_clause lets you specify a compiler directive. The PRAGMA RESTRICT_REFERENCES compiler directive denies member functions read/write access to database tables, packaged variables, or both, and thereby helps to avoid side effects.
|
Note: Oracle recommends that you avoid using this clause unless you must do so for backward compatibility of your applications. This clause has been deprecated, because Oracle Database now runs purity checks at run time. |
Specify the name of the MEMBER function or procedure to which the pragma is being applied.
Specify DEFAULT if you want the database to apply the pragma to all methods in the type for which a pragma has not been explicitly specified.
Specify WNDS to enforce the constraint writes no database state, which means that the method does not modify database tables.
Specify WNPS to enforce the constraint writes no package state, which means that the method does not modify packaged variables.
Specify RNDS to enforce the constraint reads no database state, which means that the method does not query database tables.
Specify RNPS to enforce the constraint reads no package state, which means that the method does not reference package variables.
Specify TRUST to indicate that the restrictions listed in the pragma are not actually to be enforced but are simply trusted to be true.
Use this clause to create a user-defined constructor, which is a function that returns an initialized instance of a user-defined object type. You can declare multiple constructors for a single object type, as long as the parameters of each constructor differ in number, order, or datatype.
User-defined constructor functions are always FINAL and INSTANTIABLE, so these keywords are optional.
The parameter-passing mode of user-defined constructors is always SELF IN OUT. Therefore you need not specify this clause unless you wish to do so for clarity.
RETURN SELF AS RESULT specifies that the run-time type of the value returned by the constructor is the same as the run-time type of the SELF argument.
|
See Also: Oracle Database Application Developer's Guide - Object-Relational Features for more information on and examples of user-defined constructors and "Constructor Example" |
You can define either one MAP method or one ORDER method in a type specification, regardless how many MEMBER or STATIC methods you define. If you declare either method, then you can compare object instances in SQL.
You cannot define either MAP or ORDER methods for subtypes. However, a subtype can override a MAP method if the supertype defines a nonfinal MAP method. A subtype cannot override an ORDER method at all.
You can specify either MAP or ORDER when mapping a Java class to a SQL type. However, the MAP or ORDER methods must map to MEMBER functions in the Java class.
If neither a MAP nor an ORDER method is specified, then only comparisons for equality or inequality can be performed. Therefore object instances cannot be ordered. Instances of the same type definition are equal only if each pair of their corresponding attributes is equal. No comparison method needs to be specified to determine the equality of two object types.
Use MAP if you are performing extensive sorting or hash join operations on object instances. MAP is applied once to map the objects to scalar values, and then the database uses the scalars during sorting and merging. A MAP method is more efficient than an ORDER method, which must invoke the method for each object comparison. You must use a MAP method for hash joins. You cannot use an ORDER method because the hash mechanism hashes on the object value.
|
See Also: Oracle Database Application Developer's Guide - Fundamentals for more information about object value comparisons |
This clause lets you specify a MAP member function that returns the relative position of a given instance in the ordering of all instances of the object. A MAP method is called implicitly and induces an ordering of object instances by mapping them to values of a predefined scalar type. PL/SQL uses the ordering to evaluate Boolean expressions and to perform comparisons.
If the argument to the MAP method is null, then the MAP method returns null and the method is not invoked.
An object specification can contain only one MAP method, which must be a function. The result type must be a predefined SQL scalar type, and the MAP method can have no arguments other than the implicit SELF argument.
|
Note: Iftype_name will be referenced in queries containing sorts (through an ORDER BY, GROUP BY, DISTINCT, or UNION clause) or containing joins, and you want those queries to be parallelized, then you must specify a MAP member function. |
A subtype cannot define a new MAP method. However it can override an inherited MAP method.
This clause lets you specify an ORDER member function that takes an instance of an object as an explicit argument and the implicit SELF argument and returns either a negative, zero, or positive integer. The negative, positive, or zero indicates that the implicit SELF argument is less than, equal to, or greater than the explicit argument.
If either argument to the ORDER method is null, then the ORDER method returns null and the method is not invoked.
When instances of the same object type definition are compared in an ORDER BY clause, the ORDER method map_order_function_spec is invoked.
An object specification can contain only one ORDER method, which must be a function having the return type NUMBER.
A subtype can neither define nor override an ORDER method.
The create_varray_type lets you create the type as an ordered set of elements, each of which has the same datatype. You must specify a name and a maximum limit of one or more. The array limit must be an integer literal. Oracle Database does not support anonymous varrays.
The type name for the objects contained in the varray must be one of the following:
A built-in datatype
A REF
An object type
You can create a VARRAY type of XMLType or of a LOB type for procedural purposes, for example, in PL/SQL or in view queries. However, database storage of such a varray is not supported, so you cannot create an object table or an object type column of such a varray type.
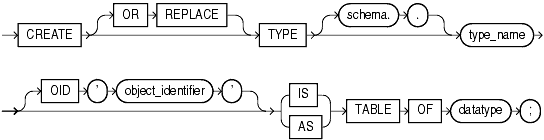
The create_nested_table_type lets you create a named nested table of type datatype.
If datatype is an object type, then the nested table type describes a table whose columns match the name and attributes of the object type.
If datatype is a scalar type, then the nested table type describes a table with a single, scalar type column called column_value.
You cannot specify NCLOB for datatype. However, you can specify CLOB or BLOB.
The following example shows how the sample type customer_typ was created for the sample Order Entry (oe) schema. A hypothetical name is given to the table so that you can duplicate this example in your test database:
CREATE TYPE customer_typ_demo AS OBJECT
( customer_id NUMBER(6)
, cust_first_name VARCHAR2(20)
, cust_last_name VARCHAR2(20)
, cust_address CUST_ADDRESS_TYP
, phone_numbers PHONE_LIST_TYP
, nls_language VARCHAR2(3)
, nls_territory VARCHAR2(30)
, credit_limit NUMBER(9,2)
, cust_email VARCHAR2(30)
, cust_orders ORDER_LIST_TYP
) ;
In the following example, the data_typ object type is created with one member function prod, which is implemented in the CREATE TYPE BODY statement:
CREATE TYPE data_typ AS OBJECT
( year NUMBER,
MEMBER FUNCTION prod(invent NUMBER) RETURN NUMBER
);
/
CREATE TYPE BODY data_typ IS
MEMBER FUNCTION prod (invent NUMBER) RETURN NUMBER IS
BEGIN
RETURN (year + invent);
END;
END;
/
The following statement shows how the subtype corporate_customer_typ in the sample oe schema was created. It is based on the customer_typ supertype created in the preceding example and adds the account_mgr_id attribute. A hypothetical name is given to the table so that you can duplicate this example in your test database:
CREATE TYPE corporate_customer_typ_demo UNDER customer_typ
( account_mgr_id NUMBER(6)
);
The following examples create a SQLJ object type and subtype. The address_t type maps to the Java class Examples.Address. The subtype long_address_t maps to the Java class Examples.LongAddress. The examples specify SQLData as the mechanism used to create the Java instance of these types. Each of the functions in these type specifications has a corresponding implementation in the Java class.
|
See Also: Oracle Database Application Developer's Guide - Object-Relational Features for the Java implementation of the functions in these type specifications |
CREATE TYPE address_t AS OBJECT
EXTERNAL NAME 'Examples.Address' LANGUAGE JAVA
USING SQLData(
street_attr varchar(250) EXTERNAL NAME 'street',
city_attr varchar(50) EXTERNAL NAME 'city',
state varchar(50) EXTERNAL NAME 'state',
zip_code_attr number EXTERNAL NAME 'zipCode',
STATIC FUNCTION recom_width RETURN NUMBER
EXTERNAL VARIABLE NAME 'recommendedWidth',
STATIC FUNCTION create_address RETURN address_t
EXTERNAL NAME 'create() return Examples.Address',
STATIC FUNCTION construct RETURN address_t
EXTERNAL NAME 'create() return Examples.Address',
STATIC FUNCTION create_address (street VARCHAR, city VARCHAR,
state VARCHAR, zip NUMBER) RETURN address_t
EXTERNAL NAME 'create (java.lang.String, java.lang.String, java.lang.String, int) return Examples.Address',
STATIC FUNCTION construct (street VARCHAR, city VARCHAR,
state VARCHAR, zip NUMBER) RETURN address_t
EXTERNAL NAME
'create (java.lang.String, java.lang.String, java.lang.String, int) return Examples.Address',
MEMBER FUNCTION to_string RETURN VARCHAR
EXTERNAL NAME 'tojava.lang.String() return java.lang.String',
MEMBER FUNCTION strip RETURN SELF AS RESULT
EXTERNAL NAME 'removeLeadingBlanks () return Examples.Address'
) NOT FINAL;
CREATE OR REPLACE TYPE long_address_t
UNDER address_t
EXTERNAL NAME 'Examples.LongAddress' LANGUAGE JAVA
USING SQLData(
street2_attr VARCHAR(250) EXTERNAL NAME 'street2',
country_attr VARCHAR (200) EXTERNAL NAME 'country',
address_code_attr VARCHAR (50) EXTERNAL NAME 'addrCode',
STATIC FUNCTION create_address RETURN long_address_t
EXTERNAL NAME 'create() return Examples.LongAddress',
STATIC FUNCTION construct (street VARCHAR, city VARCHAR,
state VARCHAR, country VARCHAR, addrs_cd VARCHAR)
RETURN long_address_t
EXTERNAL NAME
'create(java.lang.String, java.lang.String,
java.lang.String, java.lang.String, java.lang.String)
return Examples.LongAddress',
STATIC FUNCTION construct RETURN long_address_t
EXTERNAL NAME 'Examples.LongAddress()
return Examples.LongAddress',
STATIC FUNCTION create_longaddress (
street VARCHAR, city VARCHAR, state VARCHAR, country VARCHAR,
addrs_cd VARCHAR) return long_address_t
EXTERNAL NAME
'Examples.LongAddress (java.lang.String, java.lang.String,
java.lang.String, java.lang.String, java.lang.String)
return Examples.LongAddress',
MEMBER FUNCTION get_country RETURN VARCHAR
EXTERNAL NAME 'country_with_code () return java.lang.String'
);
The following statements create a type hierarchy. Type employee_t inherits the name and ssn attributes from type person_t and in addition has department_id and salary attributes. Type part_time_emp_t inherits all of the attributes from employee_t and, through employee_t, those of person_t and in addition has a num_hrs attribute. Type part_time_emp_t is final by default, so no further subtypes can be created under it.
CREATE TYPE person_t AS OBJECT (name VARCHAR2(100), ssn NUMBER) NOT FINAL; CREATE TYPE employee_t UNDER person_t (department_id NUMBER, salary NUMBER) NOT FINAL; CREATE TYPE part_time_emp_t UNDER employee_t (num_hrs NUMBER);
You can use type hierarchies to create substitutable tables and tables with substitutable columns. For examples, see "Substitutable Table and Column Examples".
The following statement shows how the phone_list_typ varray type with five elements in the sample oe schema was created. A hypothetical name is given to the table so that you can duplicate this example in your test database:
CREATE TYPE phone_list_typ_demo AS VARRAY(5) OF VARCHAR2(25);
The following example from the sample schema pm creates the named table type textdoc_tab of object type textdoc_typ:
CREATE TYPE textdoc_typ AS OBJECT
( document_typ VARCHAR2(32)
, formatted_doc BLOB
) ;
CREATE TYPE textdoc_tab AS TABLE OF textdoc_typ;
The following example of multilevel collections is a variation of the sample table oe.customers. In this example, the cust_address object column becomes a nested table column with the phone_list_typ varray column embedded in it:
CREATE TYPE phone_list_typ AS VARRAY(5) OF VARCHAR2(25);
CREATE TYPE cust_address_typ2 AS OBJECT
( street_address VARCHAR2(40)
, postal_code VARCHAR2(10)
, city VARCHAR2(30)
, state_province VARCHAR2(10)
, country_id CHAR(2)
, phone phone_list_typ
);
CREATE TYPE cust_nt_address_typ
AS TABLE OF cust_address_typ2;
This example invokes the system-defined constructor to construct the demo_typ object and insert it into the demo_tab table:
CREATE TYPE demo_typ1 AS OBJECT (a1 NUMBER, a2 NUMBER); CREATE TABLE demo_tab1 (b1 NUMBER, b2 demo_typ1); INSERT INTO demo_tab1 VALUES (1, demo_typ1(2,3));
|
See Also: Oracle Database Application Developer's Guide - Fundamentals and PL/SQL User's Guide and Reference for more information about constructors |
The following example invokes method constructor col.getbar(). The example assumes the getbar method already exists.
CREATE TYPE demo_typ2 AS OBJECT (a1 NUMBER, MEMBER FUNCTION getbar RETURN NUMBER); CREATE TABLE demo_tab2(col demo_typ2); SELECT col.getbar() FROM demo_tab2;
Unlike function invocations, method invocations require parentheses, even when the methods do not have additional arguments.
The following example changes the definition of the employee_t type to associate it with the construct_emp function. The example first creates an object type department_t and then an object type employee_t containing an attribute of type department_t:
CREATE OR REPLACE TYPE department_t AS OBJECT (
deptno number(10),
dname CHAR(30));
CREATE OR REPLACE TYPE employee_t AS OBJECT(
empid RAW(16),
ename CHAR(31),
dept REF department_t,
STATIC function construct_emp
(name VARCHAR2, dept REF department_t)
RETURN employee_t
);
This statement requires the following type body statement. The PL/SQL is shown in italics:
CREATE OR REPLACE TYPE BODY employee_t IS
STATIC FUNCTION construct_emp
(name varchar2, dept REF department_t)
RETURN employee_t IS
BEGIN
return employee_t(SYS_GUID(),name,dept);
END;
END;
Next create an object table and insert into the table:
CREATE TABLE emptab OF employee_t;
INSERT INTO emptab
VALUES (employee_t.construct_emp('John Smith', NULL));