| Oracle® Database SQL Reference 10g Release 1 (10.1) Part Number B10759-01 |
|
|
View PDF |
SQL functions are built into Oracle Database and are available for use in various appropriate SQL statements. Do not confuse SQL functions with user-defined functions written in PL/SQL.
If you call a SQL function with an argument of a datatype other than the datatype expected by the SQL function, then Oracle attempts to convert the argument to the expected datatype before performing the SQL function. If you call a SQL function with a null argument, then the SQL function automatically returns null. The only SQL functions that do not necessarily follow this behavior are CONCAT, NVL, and REPLACE.
In the syntax diagrams for SQL functions, arguments are indicated by their datatypes. When the parameter function appears in SQL syntax, replace it with one of the functions described in this section. Functions are grouped by the datatypes of their arguments and their return values.
|
See Also:
|
The syntax showing the categories of functions follows:


The sections that follow list the built-in SQL functions in each of the groups illustrated in the preceding diagrams except user-defined functions. All of the built-in SQL functions are then described in alphabetical order.
Single-row functions return a single result row for every row of a queried table or view. These functions can appear in select lists, WHERE clauses, START WITH and CONNECT BY clauses, and HAVING clauses.
Numeric functions accept numeric input and return numeric values. Most numeric functions that return NUMBER values that are accurate to 38 decimal digits. The transcendental functions COS, COSH, EXP, LN, LOG, SIN, SINH, SQRT, TAN, and TANH are accurate to 36 decimal digits. The transcendental functions ACOS, ASIN, ATAN, and ATAN2 are accurate to 30 decimal digits. The numeric functions are:
Character functions that return character values return values of the same datatype as the input argument. The length of the value returned by the function is limited by the maximum length of the datatype returned.
For functions that return CHAR or VARCHAR2, if the length of the return value exceeds the limit, then Oracle Database truncates it and returns the result without an error message.
For functions that return CLOB values, if the length of the return values exceeds the limit, then Oracle raises an error and returns no data.
The character functions that return character values are:
Character functions that return number values can take as their argument any character datatype.
The character functions that return number values are:
Datetime functions operate on date (DATE), timestamp (TIMESTAMP, TIMESTAMP WITH TIME ZONE, and TIMESTAMP WITH LOCAL TIME ZONE), and interval (INTERVAL DAY TO SECOND, INTERVAL YEAR TO MONTH) values.
Some of the datetime functions were designed for the Oracle DATE datatype (ADD_MONTHS, CURRENT_DATE, LAST_DAY, NEW_TIME, and NEXT_DAY). If you provide a timestamp value as their argument, Oracle Database internally converts the input type to a DATE value and returns a DATE value. The exceptions are the MONTHS_BETWEEN function, which returns a number, and the ROUND and TRUNC functions, which do not accept timestamp or interval values at all.
The remaining datetime functions were designed to accept any of the three types of data (date, timestamp, and interval) and to return a value of one of these types.
The datetime functions are:
Conversion functions convert a value from one datatype to another. Generally, the form of the function names follows the convention datatype TO datatype. The first datatype is the input datatype. The second datatype is the output datatype. The SQL conversion functions are:
The collection functions operate on nested tables and varrays. The SQL collection functions are:
The following single-row functions do not fall into any of the other single-row function categories:
Aggregate functions return a single result row based on groups of rows, rather than on single rows. Aggregate functions can appear in select lists and in ORDER BY and HAVING clauses. They are commonly used with the GROUP BY clause in a SELECT statement, where Oracle Database divides the rows of a queried table or view into groups. In a query containing a GROUP BY clause, the elements of the select list can be aggregate functions, GROUP BY expressions, constants, or expressions involving one of these. Oracle applies the aggregate functions to each group of rows and returns a single result row for each group.
If you omit the GROUP BY clause, then Oracle applies aggregate functions in the select list to all the rows in the queried table or view. You use aggregate functions in the HAVING clause to eliminate groups from the output based on the results of the aggregate functions, rather than on the values of the individual rows of the queried table or view.
|
See Also: "Using the GROUP BY Clause: Examples" and the "HAVING Clause " for more information on theGROUP BY clause and HAVING clauses in queries and subqueries |
Many (but not all) aggregate functions that take a single argument accept these clauses:
DISTINCT causes an aggregate function to consider only distinct values of the argument expression.
ALL causes an aggregate function to consider all values, including all duplicates.
For example, the DISTINCT average of 1, 1, 1, and 3 is 2. The ALL average is 1.5. If you specify neither, then the default is ALL.
All aggregate functions except COUNT(*) and GROUPING ignore nulls. You can use the NVL function in the argument to an aggregate function to substitute a value for a null. COUNT never returns null, but returns either a number or zero. For all the remaining aggregate functions, if the data set contains no rows, or contains only rows with nulls as arguments to the aggregate function, then the function returns null.
You can nest aggregate functions. For example, the following example calculates the average of the maximum salaries of all the departments in the sample schema hr:
SELECT AVG(MAX(salary)) FROM employees GROUP BY department_id;
AVG(MAX(SALARY))
----------------
10925
This calculation evaluates the inner aggregate (MAX(salary)) for each group defined by the GROUP BY clause (department_id), and aggregates the results again.
The aggregate functions are:
Analytic functions compute an aggregate value based on a group of rows. They differ from aggregate functions in that they return multiple rows for each group. The group of rows is called a window and is defined by the analytic_clause. For each row, a sliding window of rows is defined. The window determines the range of rows used to perform the calculations for the current row. Window sizes can be based on either a physical number of rows or a logical interval such as time.
Analytic functions are the last set of operations performed in a query except for the final ORDER BY clause. All joins and all WHERE, GROUP BY, and HAVING clauses are completed before the analytic functions are processed. Therefore, analytic functions can appear only in the select list or ORDER BY clause.
Analytic functions are commonly used to compute cumulative, moving, centered, and reporting aggregates.





The semantics of this syntax are discussed in the sections that follow.
Specify the name of an analytic function (see the listing of analytic functions following this discussion of semantics).
Analytic functions take 0 to 3 arguments. The arguments can be any numeric datatype or any nonnumeric datatype that can be implicitly converted to a numeric datatype. Oracle determines the argument with the highest numeric precedence and implicitly converts the remaining arguments to that datatype. The return type is also that datatype, unless otherwise noted for an individual function.
|
See Also: "Numeric Precedence " for information on numeric precedence and Table 2-11, "Implicit Type Conversion Matrix" for more information on implicit conversion |
Use OVER analytic_clause to indicate that the function operates on a query result set. That is, it is computed after the FROM, WHERE, GROUP BY, and HAVING clauses. You can specify analytic functions with this clause in the select list or ORDER BY clause. To filter the results of a query based on an analytic function, nest these functions within the parent query, and then filter the results of the nested subquery.
You cannot specify any analytic function in any part of the analytic_clause. That is, you cannot nest analytic functions. However, you can specify an analytic function in a subquery and compute another analytic function over it.
You can specify OVER analytic_clause with user-defined analytic functions as well as built-in analytic functions. See CREATE FUNCTION .
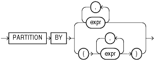
Use the PARTITION BY clause to partition the query result set into groups based on one or more value_expr. If you omit this clause, then the function treats all rows of the query result set as a single group.
To use the query_partition_clause in an analytic function, use the upper branch of the syntax (without parentheses). To use this clause in a model query (in the model_column_clauses) or a partitioned outer join (in the outer_join_clause), use the lower branch of the syntax (with parentheses).
You can specify multiple analytic functions in the same query, each with the same or different PARTITION BY keys.
If the objects being queried have the parallel attribute, and if you specify an analytic function with the query_partition_clause, then the function computations are parallelized as well.
Valid values of value_expr are constants, columns, nonanalytic functions, function expressions, or expressions involving any of these.
Use the order_by_clause to specify how data is ordered within a partition. For all analytic functions except PERCENTILE_CONT and PERCENTILE_DISC (which take only a single key), you can order the values in a partition on multiple keys, each defined by a value_expr and each qualified by an ordering sequence.
Within each function, you can specify multiple ordering expressions. Doing so is especially useful when using functions that rank values, because the second expression can resolve ties between identical values for the first expression.
Whenever the order_by_clause results in identical values for multiple rows, the function returns the same result for each of those rows. Please refer to the analytic example for SUM for an illustration of this behavior.
When used in an analytic function, the order_by_clause must take an expression (expr). The SIBLINGS keyword is not valid (it is relevant only in hierarchical queries). Position (position) and column aliases (c_alias) are also invalid. Otherwise this order_by_clause is the same as that used to order the overall query or subquery.
Specify the ordering sequence (ascending or descending). ASC is the default.
Specify whether returned rows containing nulls should appear first or last in the ordering sequence.
NULLS LAST is the default for ascending order, and NULLS FIRST is the default for descending order.
Analytic functions always operate on rows in the order specified in the order_by_clause of the function. However, the order_by_clause of the function does not guarantee the order of the result. Use the order_by_clause of the query to guarantee the final result ordering.
Some analytic functions allow the windowing_clause. In the listing of analytic functions at the end of this section, the functions that allow the windowing_clause are followed by an asterisk (*).
These keywords define for each row a window (a physical or logical set of rows) used for calculating the function result. The function is then applied to all the rows in the window. The window moves through the query result set or partition from top to bottom.
ROWS specifies the window in physical units (rows).
RANGE specifies the window as a logical offset.
You cannot specify this clause unless you have specified the order_by_clause.
The value returned by an analytic function with a logical offset is always deterministic. However, the value returned by an analytic function with a physical offset may produce nondeterministic results unless the ordering expression results in a unique ordering. You may have to specify multiple columns in the order_by_clause to achieve this unique ordering.
Use the BETWEEN ... AND clause to specify a start point and end point for the window. The first expression (before AND) defines the start point and the second expression (after AND) defines the end point.
If you omit BETWEEN and specify only one end point, then Oracle considers it the start point, and the end point defaults to the current row.
Specify UNBOUNDED PRECEDING to indicate that the window starts at the first row of the partition. This is the start point specification and cannot be used as an end point specification.
Specify UNBOUNDED FOLLOWING to indicate that the window ends at the last row of the partition. This is the end point specification and cannot be used as a start point specification.
As a start point, CURRENT ROW specifies that the window begins at the current row or value (depending on whether you have specified ROW or RANGE, respectively). In this case the end point cannot be value_expr PRECEDING.
As an end point, CURRENT ROW specifies that the window ends at the current row or value (depending on whether you have specified ROW or RANGE, respectively). In this case the start point cannot be value_expr FOLLOWING.
For RANGE or ROW:
If value_expr FOLLOWING is the start point, then the end point must be value_expr FOLLOWING.
If value_expr PRECEDING is the end point, then the start point must be value_expr PRECEDING.
If you are defining a logical window defined by an interval of time in numeric format, then you may need to use conversion functions.
|
See Also: NUMTOYMINTERVAL and NUMTODSINTERVAL for information on converting numeric times into intervals |
If you specified ROWS:
value_expr is a physical offset. It must be a constant or expression and must evaluate to a positive numeric value.
If value_expr is part of the start point, then it must evaluate to a row before the end point.
If you specified RANGE:
value_expr is a logical offset. It must be a constant or expression that evaluates to a positive numeric value or an interval literal. Please refer to "Literals " for information on interval literals.
You can specify only one expression in the order_by_clause
If value_expr evaluates to a numeric value, then the ORDER BY expr must be a numeric or DATE datatype.
If value_expr evaluates to an interval value, then the ORDER BY expr must be a DATE datatype.
If you omit the windowing_clause entirely, then the default is RANGE BETWEEN UNBOUNDED PRECEDING AND CURRENT ROW.
Analytic functions are commonly used in data warehousing environments. In the list of analytic functions that follows, functions followed by an asterisk (*) allow the full syntax, including the windowing_clause.
|
See Also: Oracle Data Warehousing Guide for more information on these functions and for scenarios illustrating their use |
Object reference functions manipulate REFs, which are references to objects of specified object types. The object reference functions are:
Model functions are relevant only for interrow calculations and can be used only in the model_clause of the SELECT statement. They are nonrecursive. The model functions are:
Press "Next" to go to the first SQL function.