Skip Headers

Oracle® Database SQL Reference
10g Release 1 (10.1)

Part Number B10759-01
Go to Documentation Home
Home
Go to Book List
Book List
Go to Table of Contents
Contents
Go to Index
Index
Go to Master Index
Master Index
Go to Feedback page
Feedback

Go to previous page
Previous
Go to next page
Next
View PDF

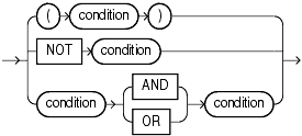
Compound Conditions

A compound condition specifies a combination of other conditions.


compound_conditions::=
Description of compound_conditions.gif follows
Description of the illustration compound_conditions.gif


See Also:

"Logical Conditions" for more information about NOT, AND, and OR conditions